Free Access

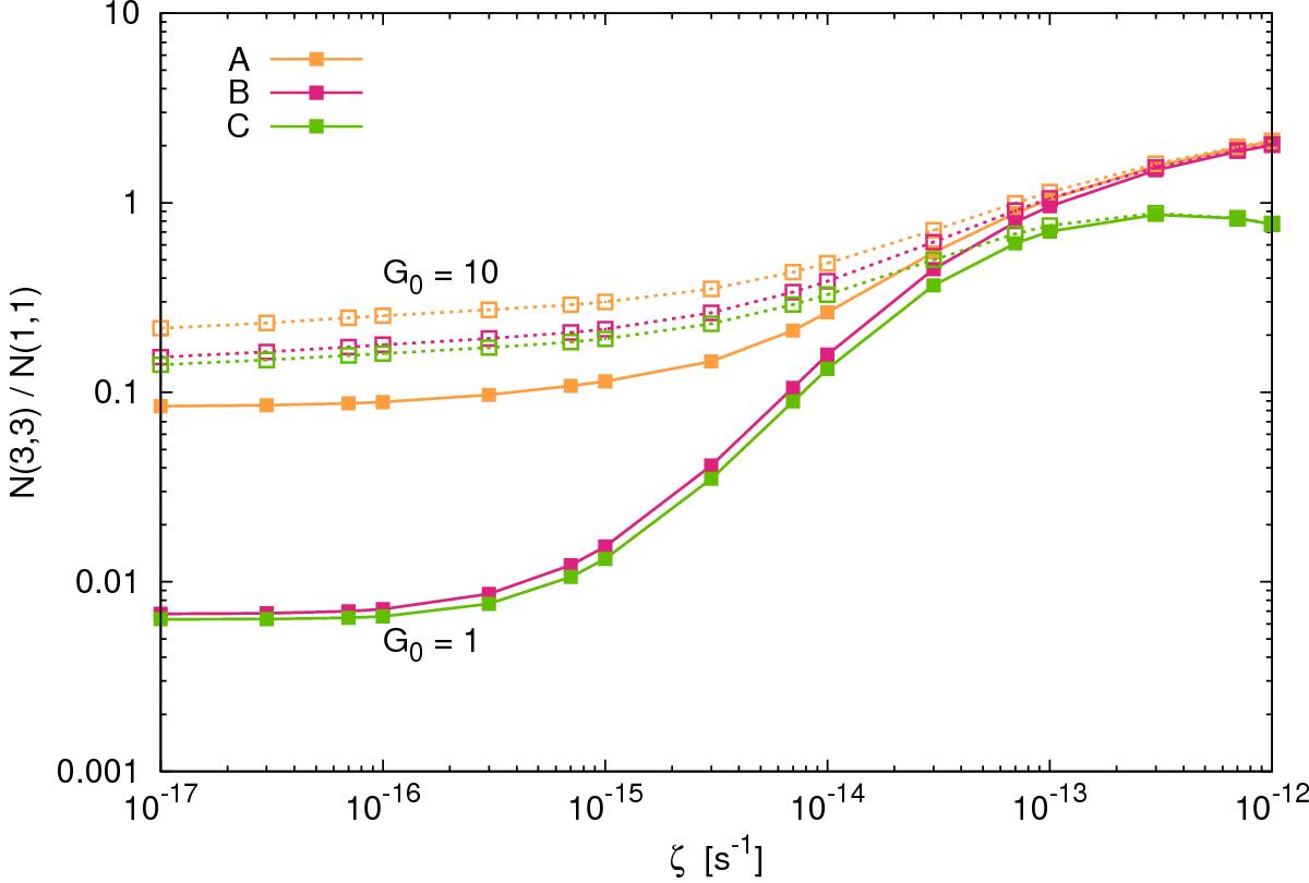
Fig. 9

image

Ratios N(3, 3)/N(1, 1) as a function of ζ for three scenarii for H excitation at formation. A: 33% of the exothermicity is used as internal energy, B: H is formed following a Boltzmann distribution at gas temperature, C: H is formed in its two levels (1, 1) and (1, 0) in a ratio corresponding to their degeneracy. Solid lines correspond to G0 = 1 and dotted lines to G0 = 10.

Current usage metrics show cumulative count of Article Views (full-text article views including HTML views, PDF and ePub downloads, according to the available data) and Abstracts Views on Vision4Press platform.

Data correspond to usage on the plateform after 2015. The current usage metrics is available 48-96 hours after online publication and is updated daily on week days.

Initial download of the metrics may take a while.