Free Access

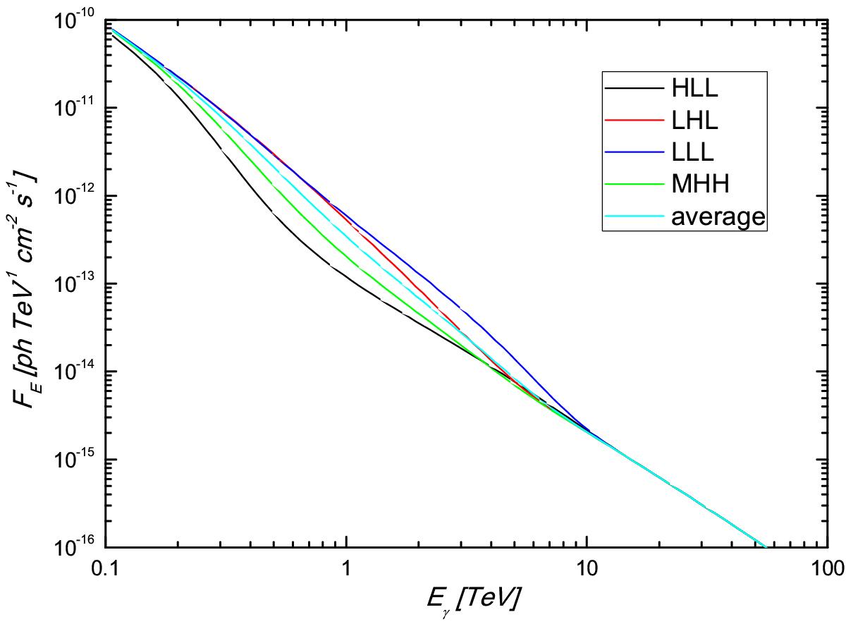
Fig. 4

image

Model spectra with different EBL absorption optical depths. It is indicated that, dependent of the EBL absorption optical depth, the photon spectra with the photon energy between 0.1 TeV and 10 TeV could be described by a relation dNγ(Eγ)/d with a small photon spectral index 1.5 < Γ < 2.5, and even flatter in a higher energy band.

Current usage metrics show cumulative count of Article Views (full-text article views including HTML views, PDF and ePub downloads, according to the available data) and Abstracts Views on Vision4Press platform.

Data correspond to usage on the plateform after 2015. The current usage metrics is available 48-96 hours after online publication and is updated daily on week days.

Initial download of the metrics may take a while.