Free Access

Fig. 3

image

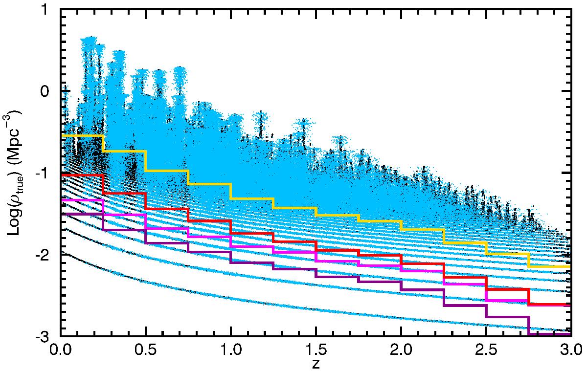
Density-redshift relation. ϱtrue as a function of redshift (black points). Cyan points highlight galaxies in high-density regions (according to ϱrec). The parameters used for the environmental reconstruction are R = 1 Mpc, n = 1.5 and σΔz/ (1 + z) = 0.01. The yellow and magenta lines refer to true environment D75 and D25, respectively, while the red and purple lines refer to the reconstructed D75 and D25, respectively.

Current usage metrics show cumulative count of Article Views (full-text article views including HTML views, PDF and ePub downloads, according to the available data) and Abstracts Views on Vision4Press platform.

Data correspond to usage on the plateform after 2015. The current usage metrics is available 48-96 hours after online publication and is updated daily on week days.

Initial download of the metrics may take a while.