Free Access

Fig. 10

image

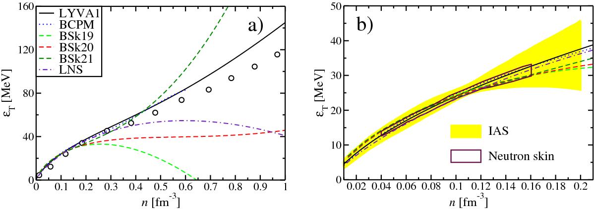
Symmetry energy as a function of the density of the system for different models (left panel). The dots correspond to the BBG calculations. In the right panel we compare the constraints extracted using IAS (Danielewicz & Lee 2014). See text for details.

This figure is made of several images, please see below:

Current usage metrics show cumulative count of Article Views (full-text article views including HTML views, PDF and ePub downloads, according to the available data) and Abstracts Views on Vision4Press platform.

Data correspond to usage on the plateform after 2015. The current usage metrics is available 48-96 hours after online publication and is updated daily on week days.

Initial download of the metrics may take a while.