Free Access

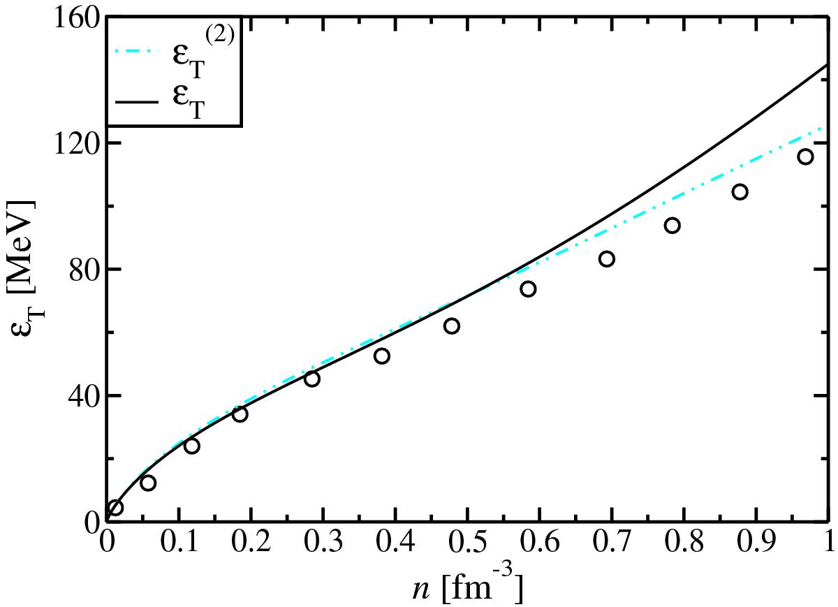
Fig. 11

image

Symmetry energy as a function of the density of the system using different definition of the symmetry energy. The dots represent the BBG results. See text for details.

Current usage metrics show cumulative count of Article Views (full-text article views including HTML views, PDF and ePub downloads, according to the available data) and Abstracts Views on Vision4Press platform.

Data correspond to usage on the plateform after 2015. The current usage metrics is available 48-96 hours after online publication and is updated daily on week days.

Initial download of the metrics may take a while.