Free Access

Fig. 17

image

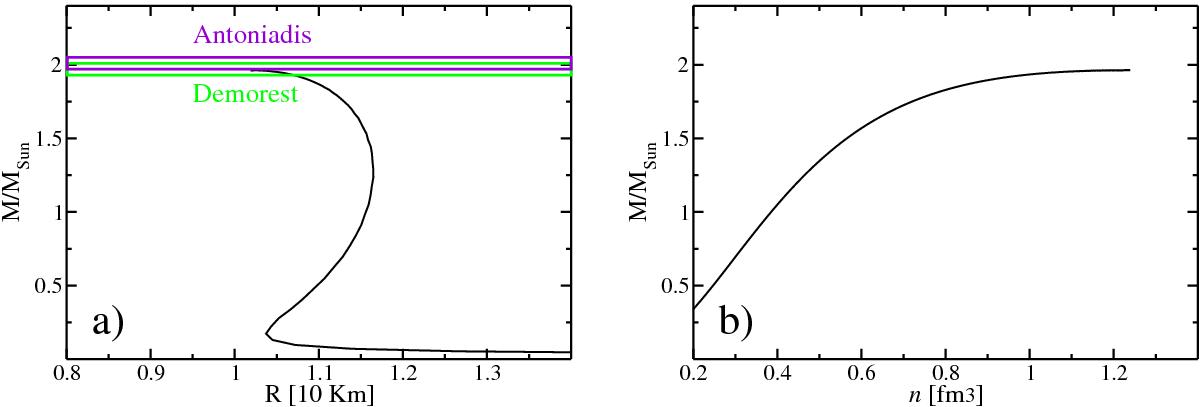
In panel a), we show the mass-radius relation for NS obtained with our EoS by solving TOV equations. The two horizontal bars refers to the two recent of NS masses measurements M/MSun = 1.97 ± 0.04 given in (Demorest et al. 2010) and M/MSun = 2.01 ± 0.04 given in (Antoniadis et al. 2013). In panel b), the mass-density relation.

This figure is made of several images, please see below:

Current usage metrics show cumulative count of Article Views (full-text article views including HTML views, PDF and ePub downloads, according to the available data) and Abstracts Views on Vision4Press platform.

Data correspond to usage on the plateform after 2015. The current usage metrics is available 48-96 hours after online publication and is updated daily on week days.

Initial download of the metrics may take a while.