Free Access

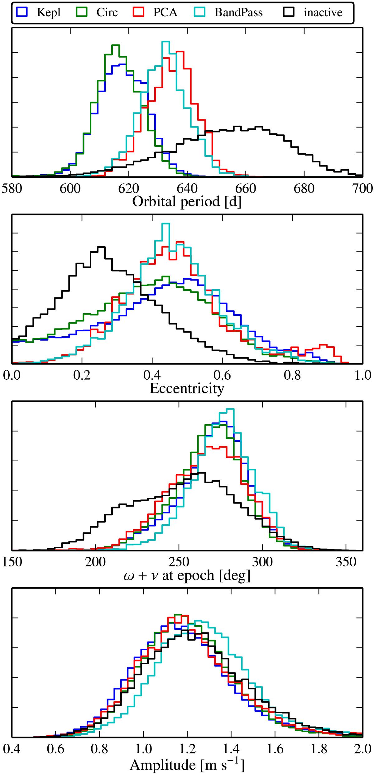
Fig. 5

image

Marginal posterior distributions of the orbital period, eccentricity, phase, and signal amplitude for the signal at around 620 days for each method used to account for the RV effect of the activity cycle. Also included are the posterior distributions using only the RVs obtained during the period of lower activity.

Current usage metrics show cumulative count of Article Views (full-text article views including HTML views, PDF and ePub downloads, according to the available data) and Abstracts Views on Vision4Press platform.

Data correspond to usage on the plateform after 2015. The current usage metrics is available 48-96 hours after online publication and is updated daily on week days.

Initial download of the metrics may take a while.