Free Access

Fig. 2

image

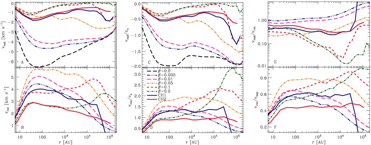
Radial logarithmic binned, mass-weighted averages of the radial velocity A), rotational velocity B), radial velocity over sound speed C), rotational velocity over sound speed D), rotational velocity over Keplerian speed E), and radial velocity over rotational velocity are plotted as a function of radius, just before the first protostar forms. The initial strength of rotation introduces a scatter in the velocity.

This figure is made of several images, please see below:

Current usage metrics show cumulative count of Article Views (full-text article views including HTML views, PDF and ePub downloads, according to the available data) and Abstracts Views on Vision4Press platform.

Data correspond to usage on the plateform after 2015. The current usage metrics is available 48-96 hours after online publication and is updated daily on week days.

Initial download of the metrics may take a while.