Free Access

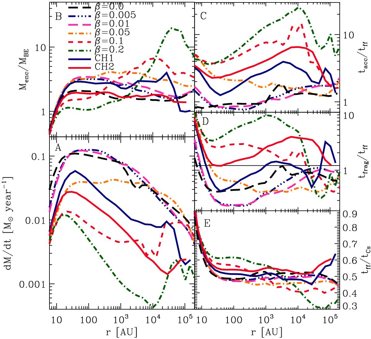
Fig. 3

image

Radial logarithmic binned, mass-weighted averages of the mass accretion rate A), the number of Bonnor-Ebert masses B), the accretion time over free-fall time C), the fragmentation time over free-fall time D), and the free-fall time over sound crossing time E) are plotted as a function of radius, just before the formation of the first sink.

Current usage metrics show cumulative count of Article Views (full-text article views including HTML views, PDF and ePub downloads, according to the available data) and Abstracts Views on Vision4Press platform.

Data correspond to usage on the plateform after 2015. The current usage metrics is available 48-96 hours after online publication and is updated daily on week days.

Initial download of the metrics may take a while.