Free Access

Fig. 12

image

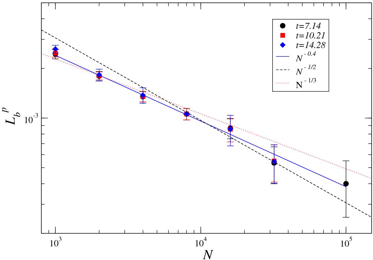
Logarithm of the final angular momentum of bound virialised mass (in units of L0) as a function of particle number N, for spherical initial conditions with α = 1. The point for the cases N = 105 corresponds to the results reported above, at t = 5, while for the other N there is data at three times, extending to t ≈ 14. Each point is an average over M realisations, with M = 90 for N = 1000, M = 50 for N = 2000, M = 40 for N = 4000, M = 30 for N = 8000, M = 6 for N = 16 000, M = 4 for N = 32 000, and M = 4 for N = 105. The error bars indicate the corresponding estimated error on the mean. The continuous line (N-0.4) is a best fit to the data, while the dashed lines correspond to N− 1/2 and N− 1/3.

Current usage metrics show cumulative count of Article Views (full-text article views including HTML views, PDF and ePub downloads, according to the available data) and Abstracts Views on Vision4Press platform.

Data correspond to usage on the plateform after 2015. The current usage metrics is available 48-96 hours after online publication and is updated daily on week days.

Initial download of the metrics may take a while.