Free Access

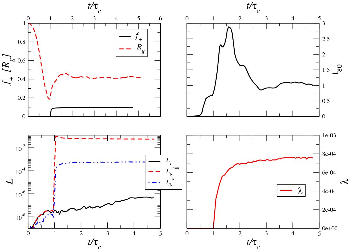
Fig. 2

image

Evolution from spherical initial condition with α = 1, and N = 105: top left: the fraction of particles with positive energy f+ (full black line) and the gravitational radius Rg (dotted red line) in units of the initial sphere radius R0; top right: the flatness ratio ι80 for the 80% most bounded particles; bottom left: the total angular momentum LT (full black line) with respect to the initial centre of mass, the angular momentum of the centre of mass of the bound particles (red dashed line) and the angular momentum of the bound particles (blue dashed-dotted line) with respect to their centre of mass (all in units of L0 defined in Eq. (6)); bottom right: the spin parameter λ.

Current usage metrics show cumulative count of Article Views (full-text article views including HTML views, PDF and ePub downloads, according to the available data) and Abstracts Views on Vision4Press platform.

Data correspond to usage on the plateform after 2015. The current usage metrics is available 48-96 hours after online publication and is updated daily on week days.

Initial download of the metrics may take a while.