Free Access

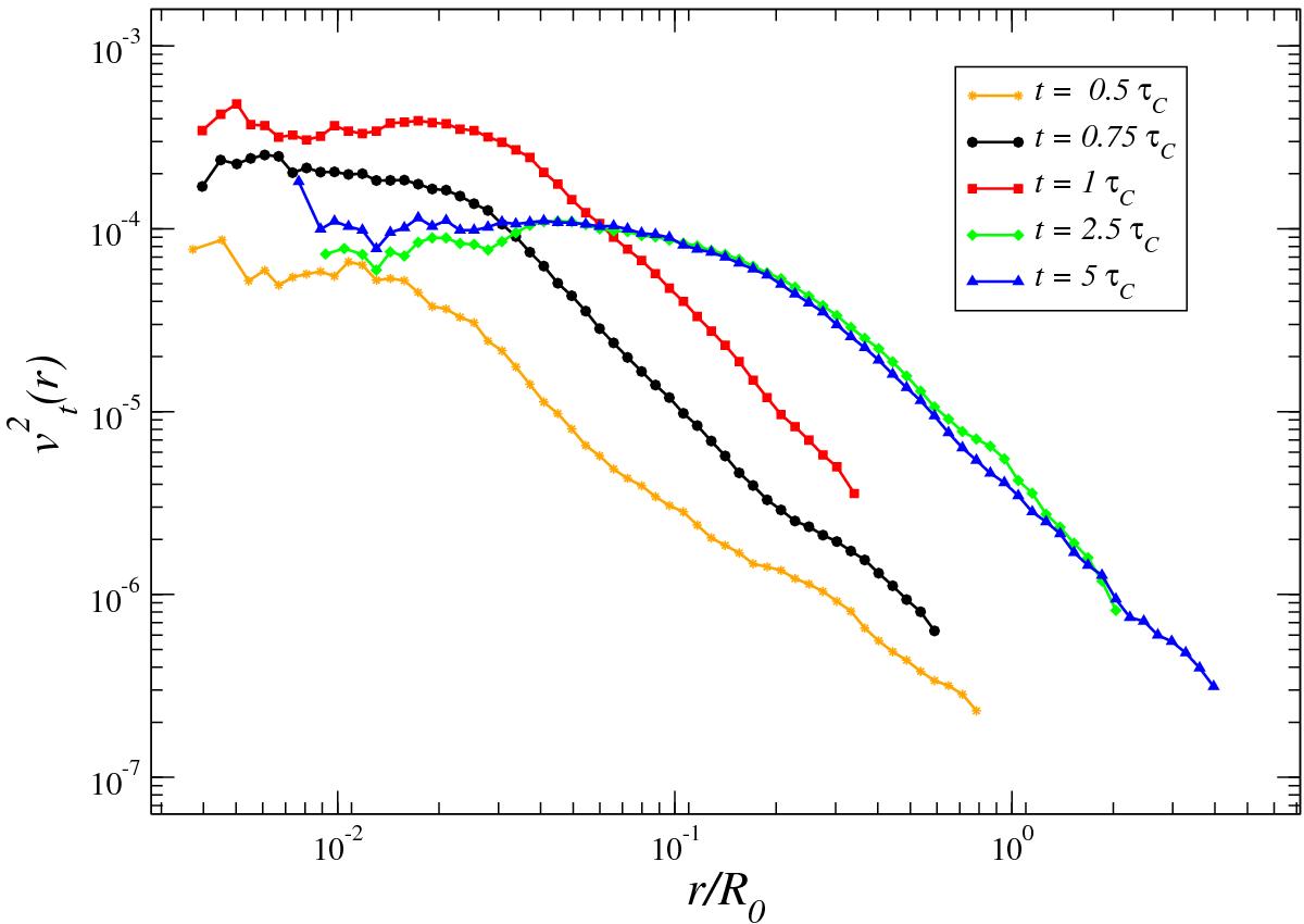
Fig. 3

image

Average in radial shells of the square of the transverse component of particle velocities (in units in which is unity), as a function of radius, at each of the indicated times, for a simulation with N = 105 particles of spherical initial conditions with α = 1. Note that already well before the system reaches it maximal contraction, at t ≈ 1, the Poissonian fluctuations breaking spherical symmetry have been amplified to produce tangential velocities larger than in the final virialized state.

Current usage metrics show cumulative count of Article Views (full-text article views including HTML views, PDF and ePub downloads, according to the available data) and Abstracts Views on Vision4Press platform.

Data correspond to usage on the plateform after 2015. The current usage metrics is available 48-96 hours after online publication and is updated daily on week days.

Initial download of the metrics may take a while.