Free Access

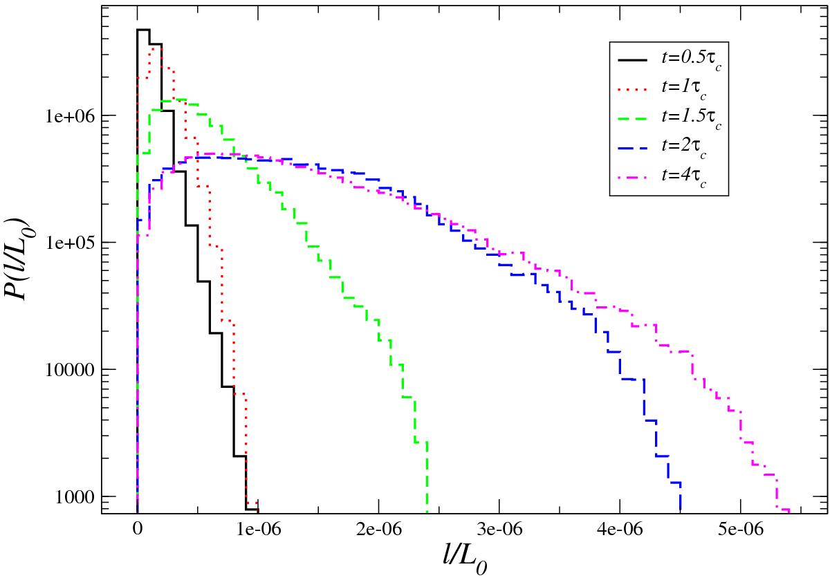
Fig. 4

image

Distribution of the absolute values of the particle angular momentum (in units of L0) with respect to the centre of mass of bound particles P( | |), for α = 1 and N = 105 at different times before and after the collapse.

Current usage metrics show cumulative count of Article Views (full-text article views including HTML views, PDF and ePub downloads, according to the available data) and Abstracts Views on Vision4Press platform.

Data correspond to usage on the plateform after 2015. The current usage metrics is available 48-96 hours after online publication and is updated daily on week days.

Initial download of the metrics may take a while.