Free Access

Fig. 5

image

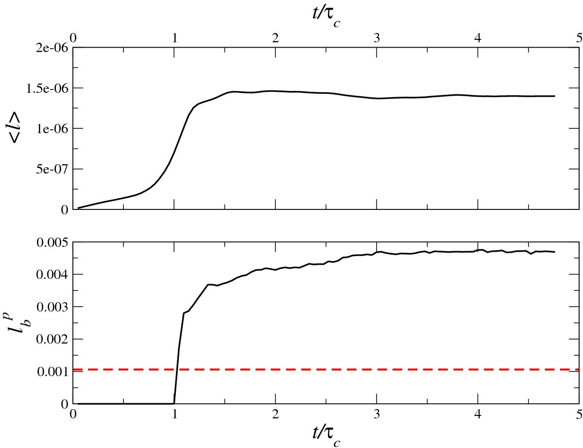
For the case α = 1 and N = 105, upper panel: evolution of the average of the modulus of the angular momenta of bound particles (with respect to their centre of mass) as a function of time. The lower panel: quantity in Eq. (9) and the dashed line the estimated value expected if the ejection were a random sampling of the total mass.

Current usage metrics show cumulative count of Article Views (full-text article views including HTML views, PDF and ePub downloads, according to the available data) and Abstracts Views on Vision4Press platform.

Data correspond to usage on the plateform after 2015. The current usage metrics is available 48-96 hours after online publication and is updated daily on week days.

Initial download of the metrics may take a while.