Free Access

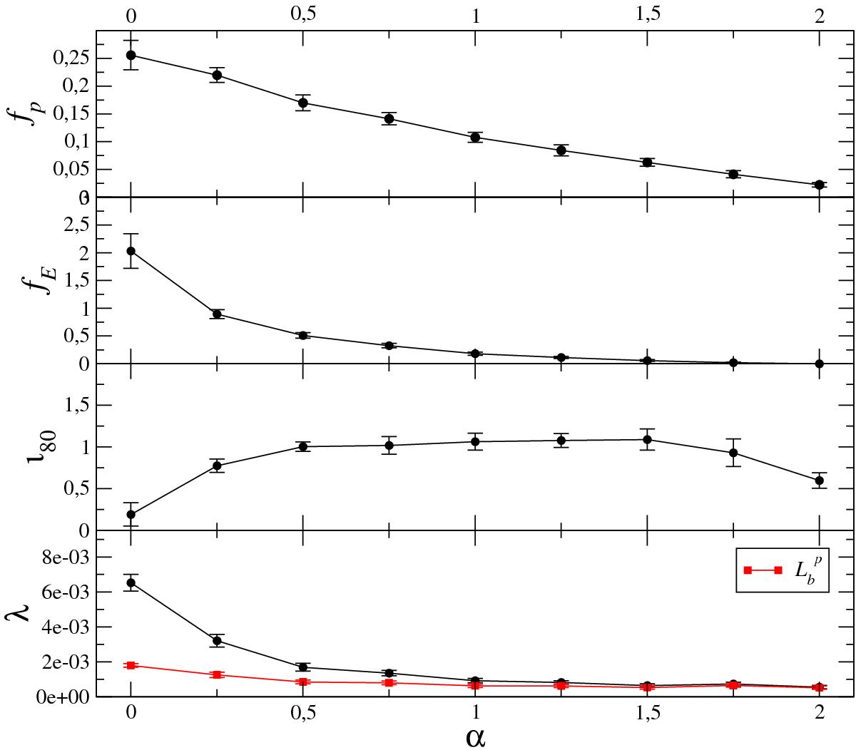
Fig. 6

image

Final values of f+(fp), fE, ι80 and λ for the spherical initial conditions as a function of α, for N = 104. The points are the average values for Ns = 20 realisations for each α ≠ 0 and for 47 realisations in the case α = 0; the indicated error bar is the corresponding standard deviation σ (for λ we show the error on the mean ). The lower panel also shows (red dashed points) the angular momentum of the bound mass normalised to L0. For the smallest values of α, the angular momentum generated actually decreases but, because of the increasing mass (and energy) ejection, the characteristic angular momentum of the final bound mass decreases even faster.

Current usage metrics show cumulative count of Article Views (full-text article views including HTML views, PDF and ePub downloads, according to the available data) and Abstracts Views on Vision4Press platform.

Data correspond to usage on the plateform after 2015. The current usage metrics is available 48-96 hours after online publication and is updated daily on week days.

Initial download of the metrics may take a while.