Fig. 4

image

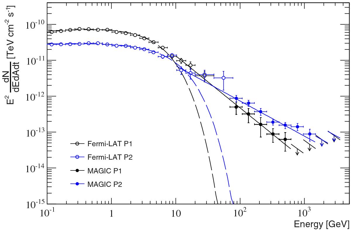
Phase-folded SED of the Crab P1 (black circles) and P2 (blue circles) at HE and VHE (open and filled circles). The results of the power law with exponential cutoff fits to the Fermi-LAT points are shown by dashed lines (Aleksić et al. 2014), whereas the joint Fermi-LAT/MAGIC fits to power-law functions above 10 GeV are shown by solid lines. The upper limits to the differential flux at 95% CL are computed under the assumption of the power-law spectrum found in this work, as represented by the slope of the arrows.

Current usage metrics show cumulative count of Article Views (full-text article views including HTML views, PDF and ePub downloads, according to the available data) and Abstracts Views on Vision4Press platform.

Data correspond to usage on the plateform after 2015. The current usage metrics is available 48-96 hours after online publication and is updated daily on week days.

Initial download of the metrics may take a while.