Free Access

Fig. 1

image

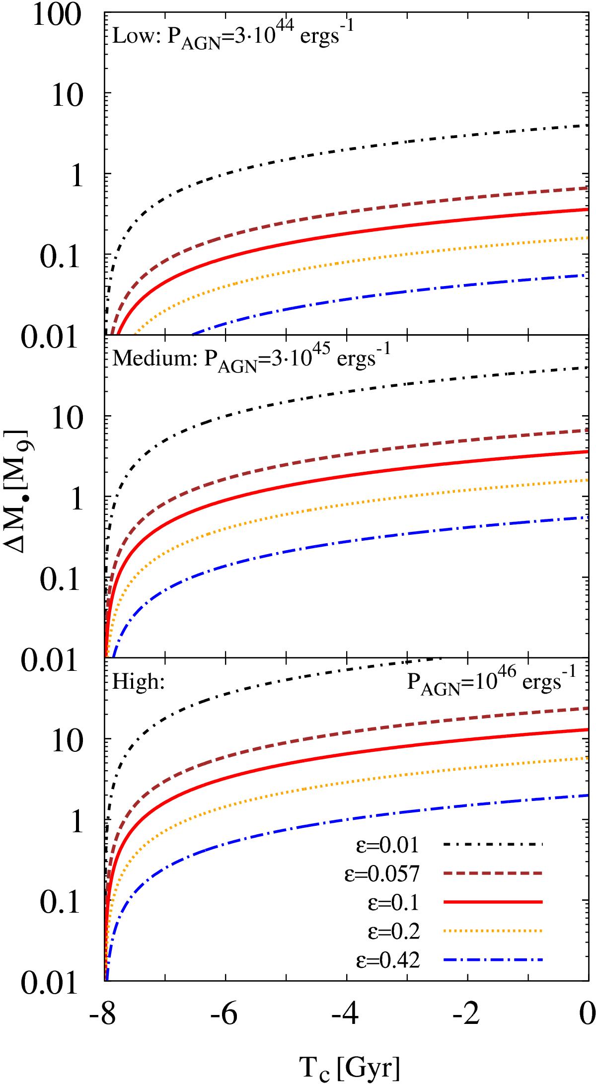
The SMBH growth rate is obtained from the central cluster AGN feedback power, which is constrained by means of different strategies and cluster samples. The colors and line types indicate the binding energy conversion efficiency parameters, which must be adopted for the conversion (Eq. (1)). The cosmic time is defined as Tc(z = 0) = 0, and we assume that feedback/accretion started operating at redshift z = 1 (8 billion years ago). SMBH masses can be obtained from the relation .

Current usage metrics show cumulative count of Article Views (full-text article views including HTML views, PDF and ePub downloads, according to the available data) and Abstracts Views on Vision4Press platform.

Data correspond to usage on the plateform after 2015. The current usage metrics is available 48-96 hours after online publication and is updated daily on week days.

Initial download of the metrics may take a while.