Free Access

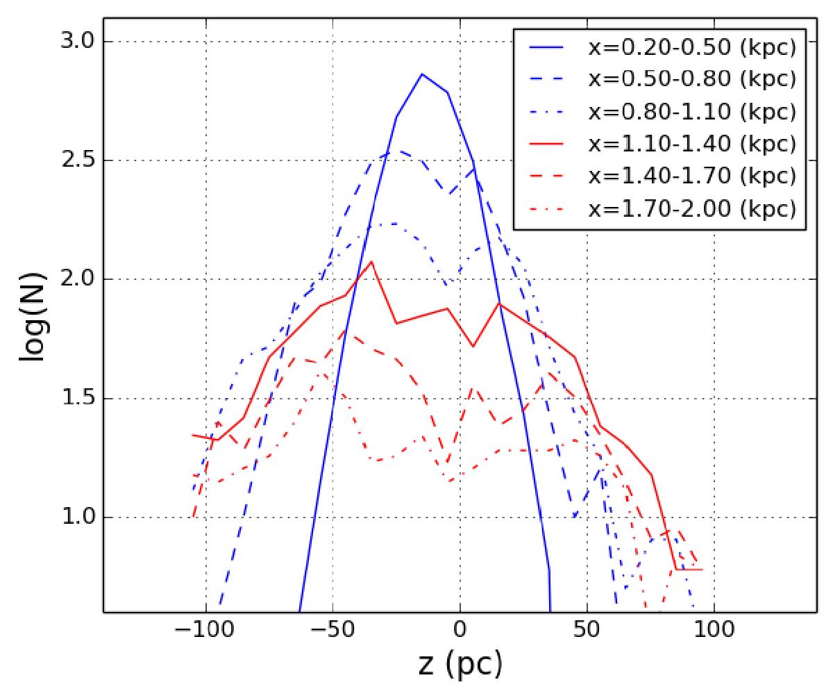
Fig. 8

image

Distribution of early-type stars on the P132 plates within a ±3° cone around the direction to the Galactic center as a function of the height above the plane, z, and distance from the sun, x.

Current usage metrics show cumulative count of Article Views (full-text article views including HTML views, PDF and ePub downloads, according to the available data) and Abstracts Views on Vision4Press platform.

Data correspond to usage on the plateform after 2015. The current usage metrics is available 48-96 hours after online publication and is updated daily on week days.

Initial download of the metrics may take a while.