Free Access

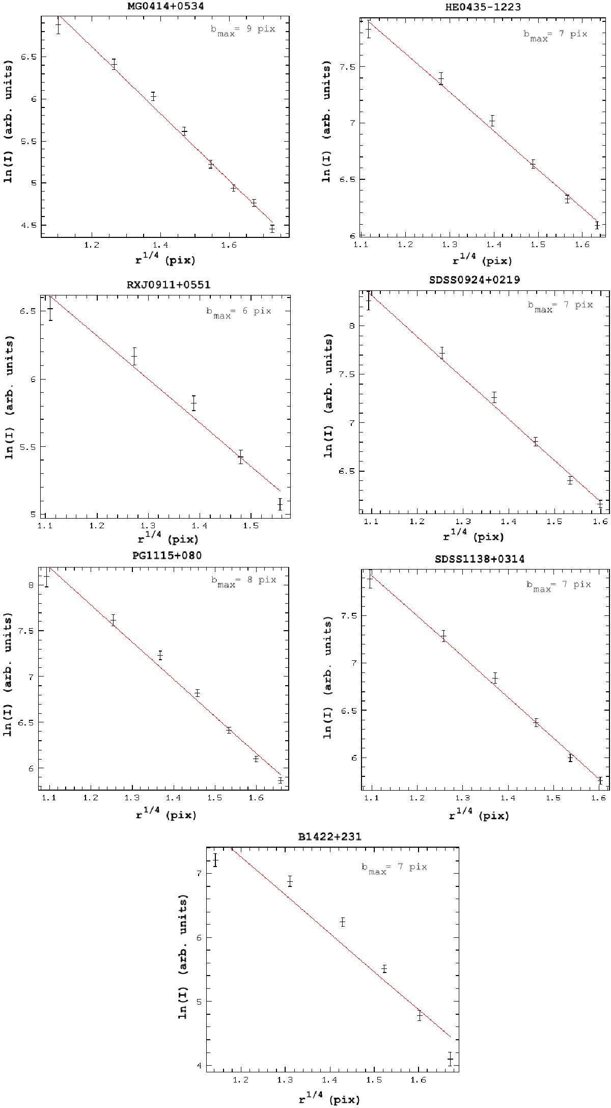
Fig. 7

image

lnI vs. r1/4, as used in the measurement of the galaxies half-light radii. The radial coordinate r is in pixels. The error bars on lnI are the standard error on the mean within each isophote. The solid line shows the linear regression. The value of bmax is the semi-minor axis considered for the elliptical region in which the intensities are being measured. Those regions have the same average ellipticity as the convolved profiles (Table 3), and the same PA as the galaxy (Table 2). Only one data frame is shown for each system.

This figure is made of several images, please see below:

Current usage metrics show cumulative count of Article Views (full-text article views including HTML views, PDF and ePub downloads, according to the available data) and Abstracts Views on Vision4Press platform.

Data correspond to usage on the plateform after 2015. The current usage metrics is available 48-96 hours after online publication and is updated daily on week days.

Initial download of the metrics may take a while.