Highlight
Free Access

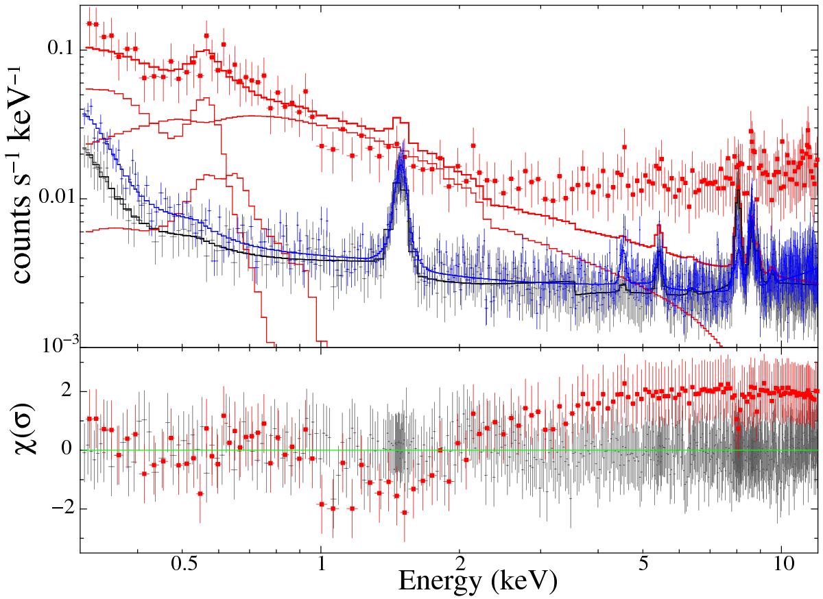
Fig. A.1

image

Example of a strong soft proton contamination (SPC) affecting the spectral analysis of MCSNR J05296653 (ObsID 0700381101). The instrumental background, extracted from FWC data, is shown in the top panel in grey and blue. The spectrum extracted from the BG region is shown in red. The strong flat tail above 2 keV is the SPC, which the instrumental + AXB model cannot account for.

Current usage metrics show cumulative count of Article Views (full-text article views including HTML views, PDF and ePub downloads, according to the available data) and Abstracts Views on Vision4Press platform.

Data correspond to usage on the plateform after 2015. The current usage metrics is available 48-96 hours after online publication and is updated daily on week days.

Initial download of the metrics may take a while.