Free Access

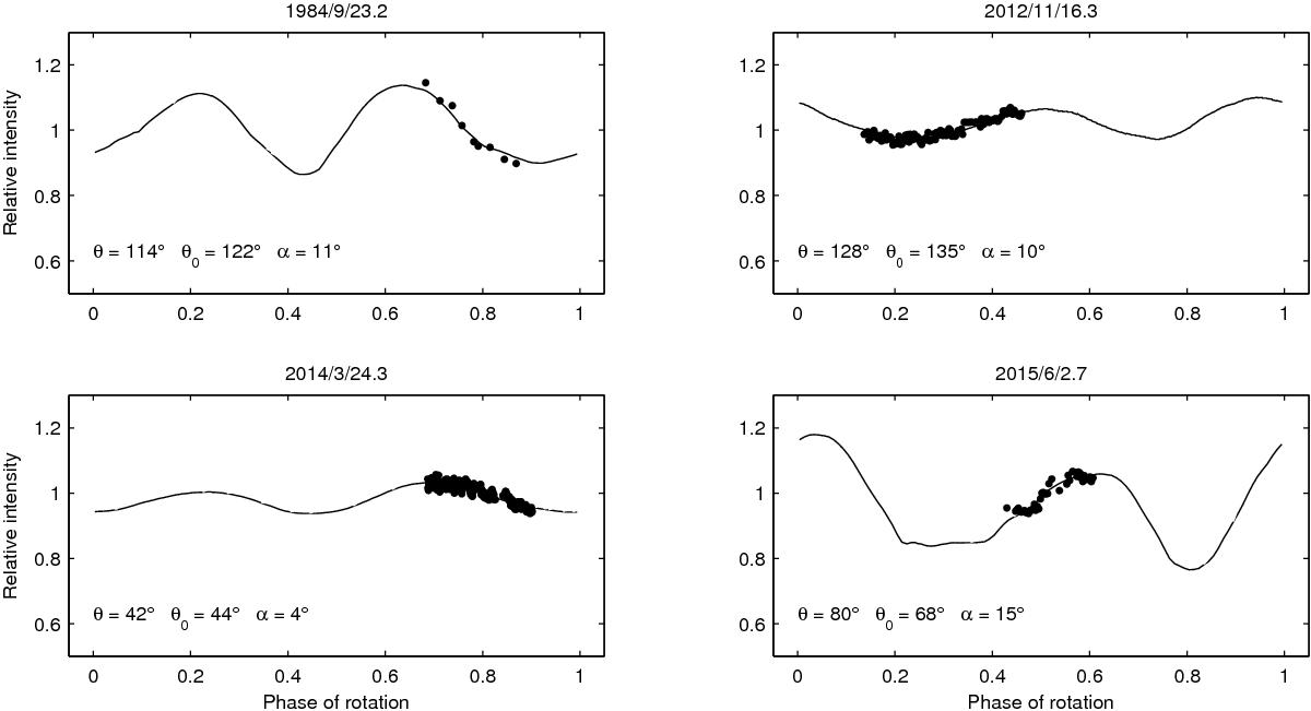
Fig. 2

image

Example of photometric data of 495 Eulalia (symbols) fitted with synthetic lightcurves (solid curves) produced by the model in Fig. 4. Because Eulalia’s rotation period is about 29 h, the data from one night cover always only a part of the rotation cycle. The viewing and illumination geometry for the pole solution P1 is given by the aspect angle θ, the solar aspect angle θ0, and the solar phase angle α.

Current usage metrics show cumulative count of Article Views (full-text article views including HTML views, PDF and ePub downloads, according to the available data) and Abstracts Views on Vision4Press platform.

Data correspond to usage on the plateform after 2015. The current usage metrics is available 48-96 hours after online publication and is updated daily on week days.

Initial download of the metrics may take a while.