Free Access

Fig. 5

image

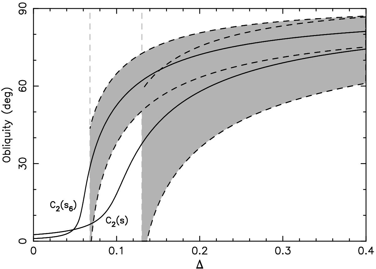
Obliquity of the Cassini equilibrium C2 and the maximum width of the associated resonance zone (gray area) as a function of the Eulalia’s dynamical flattening Δ. The solid line labeled C2(s6) corresponds to the planetary frequency s6, the line labeled C2(s) corresponds to the proper frequency s. For Δ ≥ 0.13 both resonant zones exist and overlap, producing chaotic obliquity evolution within the combined gray area (Fig. 6). These results assume the current rotation period P ≃ 29 h of Eulalia. Our pole solutions yield the current Eulalia’s obliquity ≃ (40°−60°), which could be affected by the chaotic zone unless very low or high value of Δ.

Current usage metrics show cumulative count of Article Views (full-text article views including HTML views, PDF and ePub downloads, according to the available data) and Abstracts Views on Vision4Press platform.

Data correspond to usage on the plateform after 2015. The current usage metrics is available 48-96 hours after online publication and is updated daily on week days.

Initial download of the metrics may take a while.