Free Access

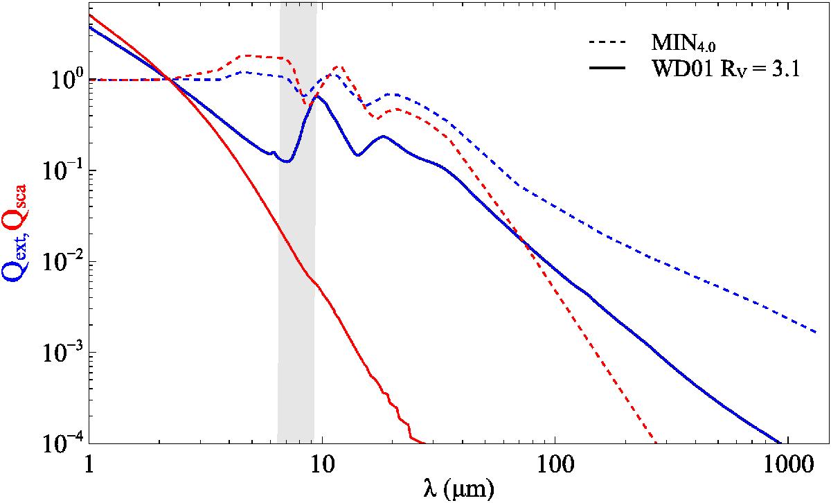
Fig. 3

image

Dust optical properties (scattering efficiency, Qsca, in red, total extinction efficiency, Qext, in blue). The WD01 (3.1) model is displayed by solid lines, and MIN fluffy aggregates with an equivalent spherical size of 4.0 μm are plotted with dotted lines. A gray area represents the 8 μm filter width. All the dust coefficients have been normalized by their value at the Ks wavelength.

Current usage metrics show cumulative count of Article Views (full-text article views including HTML views, PDF and ePub downloads, according to the available data) and Abstracts Views on Vision4Press platform.

Data correspond to usage on the plateform after 2015. The current usage metrics is available 48-96 hours after online publication and is updated daily on week days.

Initial download of the metrics may take a while.