Free Access

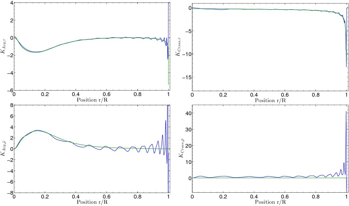
Fig. 3

image

Upper panel: example of kernel fits for the inversion of the acoustic radius of 16CygA (averaging kernel on the left and cross-term kernel on the right). Lower panel: kernel fits for the inversion of the mean density for 16CygA (averaging kernel on the left and cross-term kernel on the right). The target functions are in green and the SOLA kernels in blue.

Current usage metrics show cumulative count of Article Views (full-text article views including HTML views, PDF and ePub downloads, according to the available data) and Abstracts Views on Vision4Press platform.

Data correspond to usage on the plateform after 2015. The current usage metrics is available 48-96 hours after online publication and is updated daily on week days.

Initial download of the metrics may take a while.