Free Access

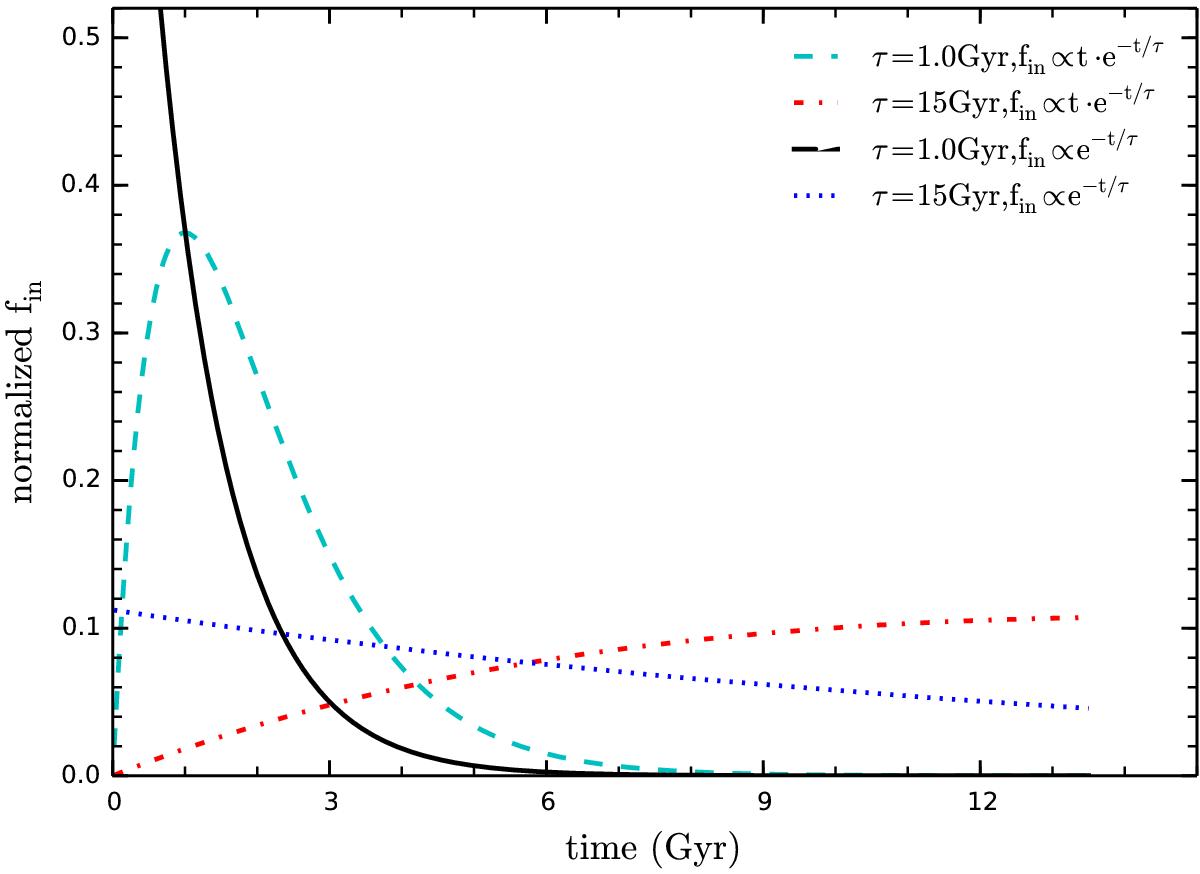
Fig. 1

image

Normalized gas infall rate with two forms. The infall rate adopted as fin(r,t) ∝ t·et/τ is plotted as dashed line (τ = 1.0 Gyr) and dot-dashed line (τ = 15 Gyr), while that adopted as fin(r,t) ∝ et/τ is shown as solid line (τ = 1.0 Gyr) and dotted line (τ = 15 Gyr), respectively.

Current usage metrics show cumulative count of Article Views (full-text article views including HTML views, PDF and ePub downloads, according to the available data) and Abstracts Views on Vision4Press platform.

Data correspond to usage on the plateform after 2015. The current usage metrics is available 48-96 hours after online publication and is updated daily on week days.

Initial download of the metrics may take a while.