Free Access

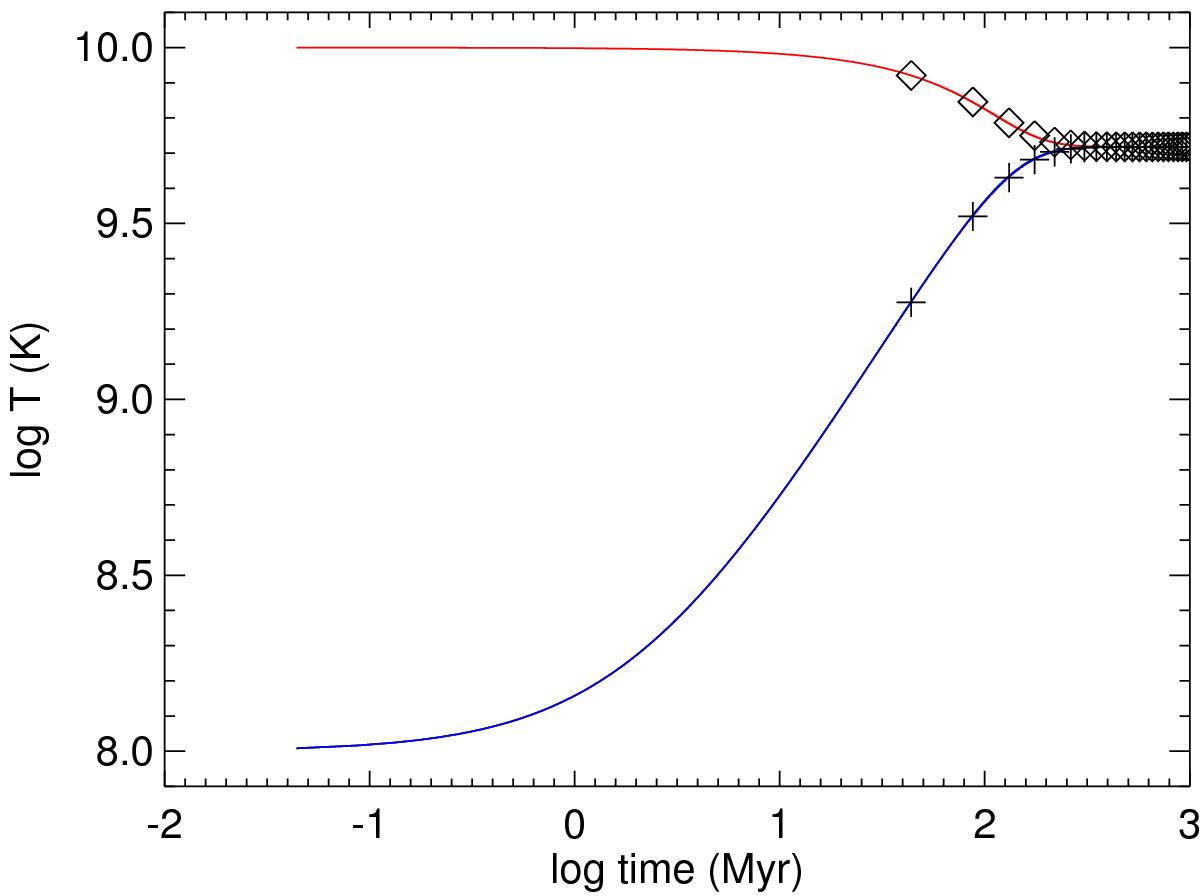
Fig. 2

image

Electron temperature (red or diamonds) and ion temperature (blue or pluses) as a function of time for the one cell problem. The solution for a time step of τeq,EI,0/ 50 is represented in solid lines and for the time step of 20τeq,EI,0 with symbols.

Current usage metrics show cumulative count of Article Views (full-text article views including HTML views, PDF and ePub downloads, according to the available data) and Abstracts Views on Vision4Press platform.

Data correspond to usage on the plateform after 2015. The current usage metrics is available 48-96 hours after online publication and is updated daily on week days.

Initial download of the metrics may take a while.