Free Access

Fig. 8

image

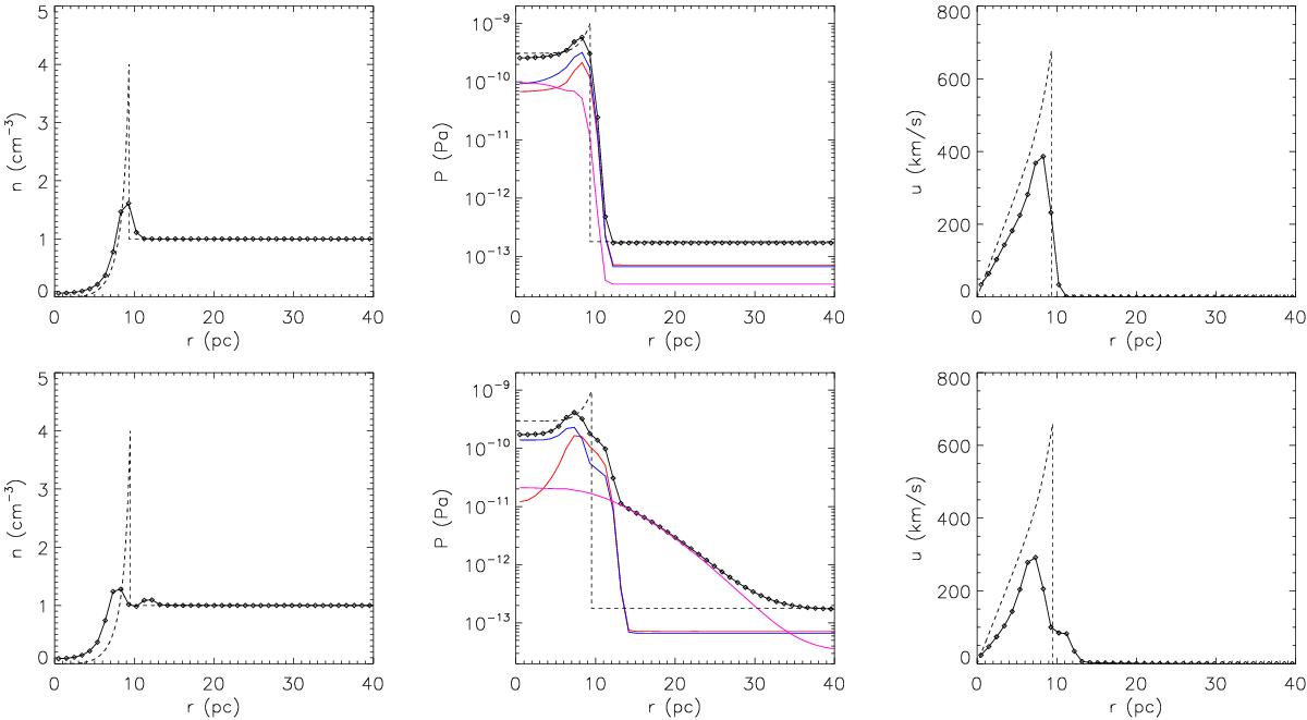
Spherically averaged values of density (left), pressure (middle), and velocity (right) as a function of radius at t = 4 kyr for the 3D Sedov explosion without diffusion (top), and with isotropic diffusion (bottom). The solid lines are the result of the simulation, and the dashed line is the analytic prediction for the standard Sedov solution. The pressure is decomposed into total pressure (black), ion pressure (blue), electron pressure (red), and CR pressure (magenta). Without diffusion, the analytic solution is reproduced well. With diffusion, there are both a CR precursor and an electron precursor.

This figure is made of several images, please see below:

Current usage metrics show cumulative count of Article Views (full-text article views including HTML views, PDF and ePub downloads, according to the available data) and Abstracts Views on Vision4Press platform.

Data correspond to usage on the plateform after 2015. The current usage metrics is available 48-96 hours after online publication and is updated daily on week days.

Initial download of the metrics may take a while.