Highlight
Free Access

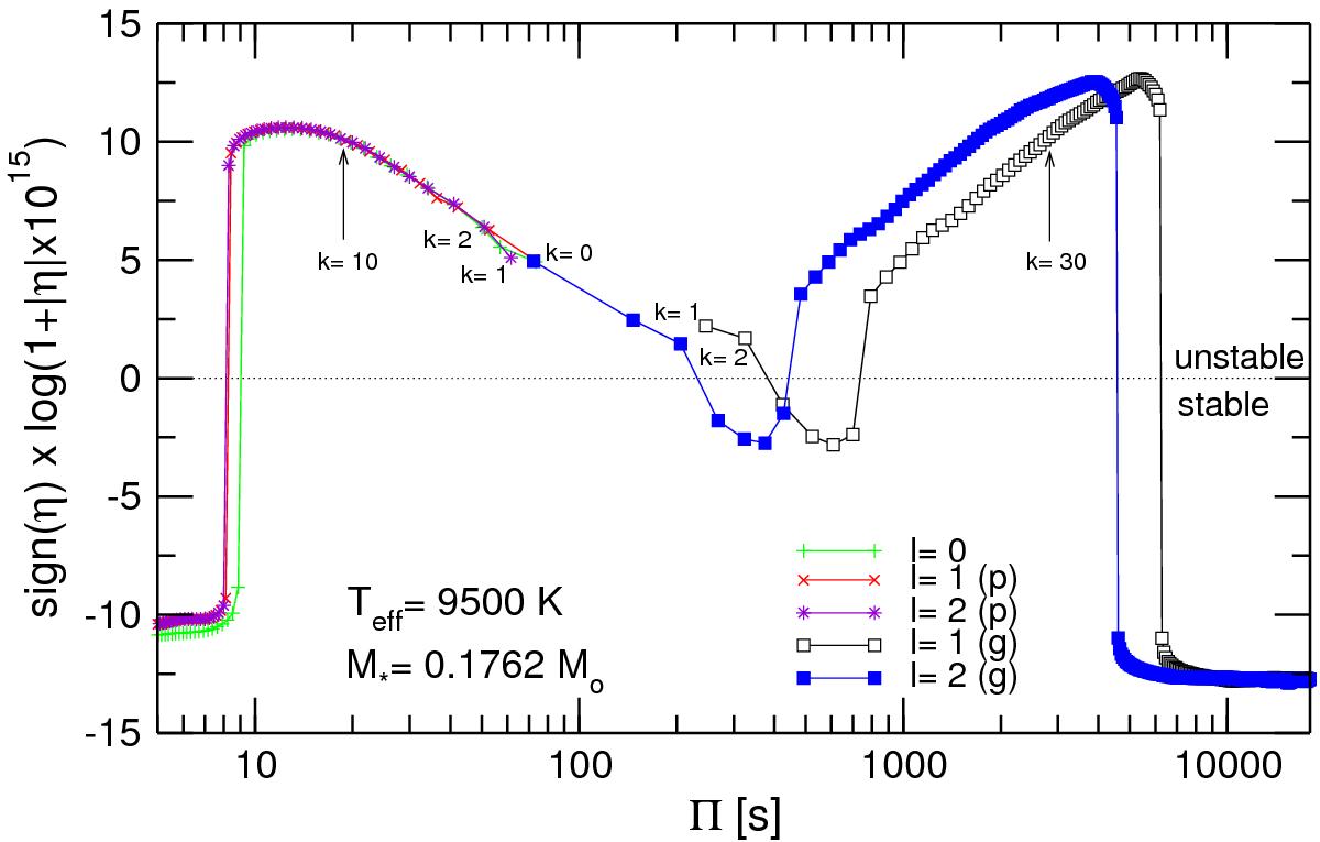
Fig. 3

image

Normalized growth rates η (symbols connected with continuous lines) for radial ( = 0) and nonradial = 1,2p and g modes in terms of the pulsation periods for the 0.1762 M ELM WD template model at Teff = 9500 K. The wide numerical range spanned by η is appropriately scaled for a better graphical representation. Specific modes (mode p with = 1,k = 10 and mode g with = 1,k = 30), which are analyzed in Fig. 4, are indicated with arrows.

Current usage metrics show cumulative count of Article Views (full-text article views including HTML views, PDF and ePub downloads, according to the available data) and Abstracts Views on Vision4Press platform.

Data correspond to usage on the plateform after 2015. The current usage metrics is available 48-96 hours after online publication and is updated daily on week days.

Initial download of the metrics may take a while.