Highlight
Free Access

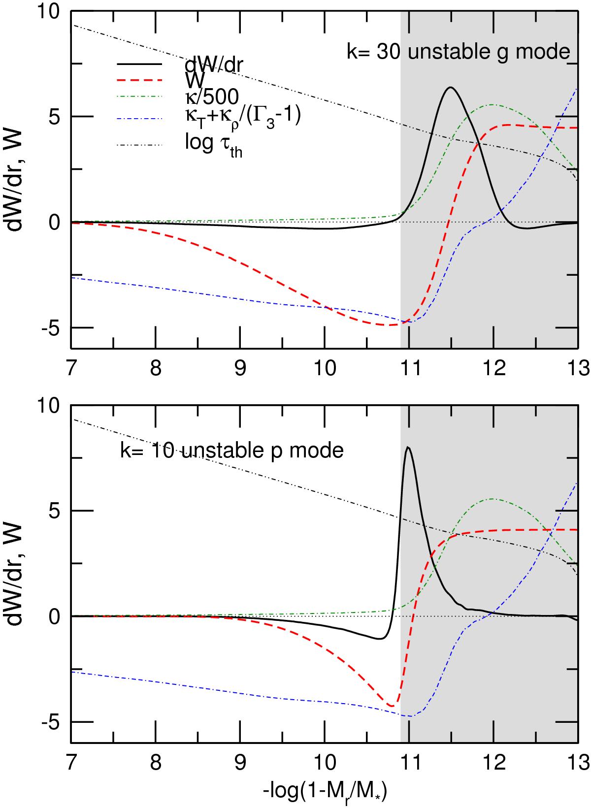
Fig. 4

image

Differential work (dW/ dr) and the running work integral (W) for the g mode with k = 30 (upper panel) and the p mode with k = 10 (lower panel), along with the Rosseland opacity profile (κ), the opacity derivatives, and the thermal timescale (τth) of our 0.1762 M ELM WD template model (Teff = 9500 K). The gray area shows the location of the outer convection zone.

Current usage metrics show cumulative count of Article Views (full-text article views including HTML views, PDF and ePub downloads, according to the available data) and Abstracts Views on Vision4Press platform.

Data correspond to usage on the plateform after 2015. The current usage metrics is available 48-96 hours after online publication and is updated daily on week days.

Initial download of the metrics may take a while.