Highlight
Free Access

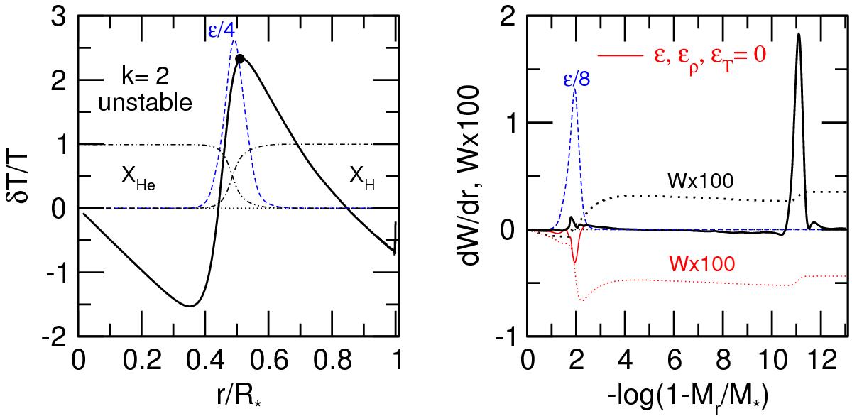
Fig. 5

image

Left panel: Lagrangian perturbation of temperature (δT/T), along with the scaled nuclear generation rate (ϵ) and the H and He chemical abundances (XH,XHe) in terms of the normalized stellar radius, for the unstable = 1,k = 2g mode (Π = 325 s) corresponding to our template model. The black dot marks the location of the outermost maximum of δT/T. Right panel: corresponding differential work function (dW/ dr) in terms of the mass fraction coordinate for the case in which the ε mechanism is allowed to operate (solid black curve) and when it is suppressed (solid red curve). Also shown are the scaled running work integrals, W (dotted curves).

Current usage metrics show cumulative count of Article Views (full-text article views including HTML views, PDF and ePub downloads, according to the available data) and Abstracts Views on Vision4Press platform.

Data correspond to usage on the plateform after 2015. The current usage metrics is available 48-96 hours after online publication and is updated daily on week days.

Initial download of the metrics may take a while.