Free Access

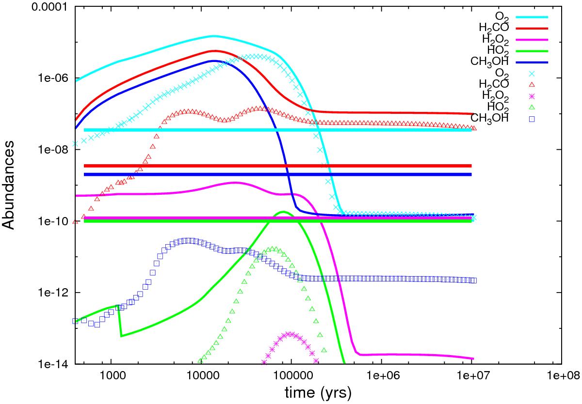
Fig. 6

image

Abundances of O2 (cyan), H2CO (red), H2O2 (pink), CH3OH (blue), and HO2 (green) in our model clouds taking into account the chemical desorption process (model cloud 1: lines) and without the chemical desorptions process (model cloud 3: dots). The horizontal lines show the observations of ρ oph A.

Current usage metrics show cumulative count of Article Views (full-text article views including HTML views, PDF and ePub downloads, according to the available data) and Abstracts Views on Vision4Press platform.

Data correspond to usage on the plateform after 2015. The current usage metrics is available 48-96 hours after online publication and is updated daily on week days.

Initial download of the metrics may take a while.