Free Access

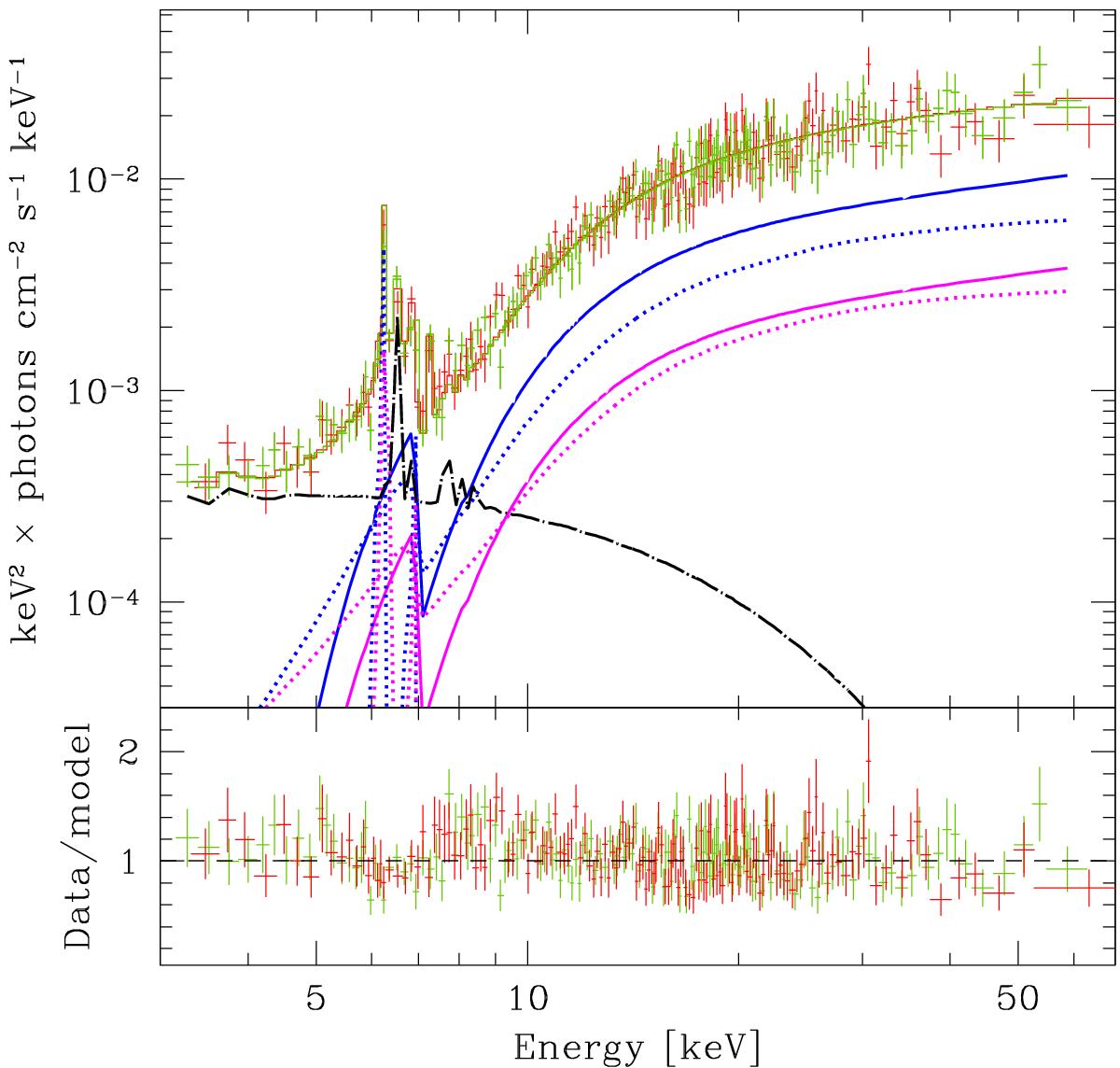
Fig. 10

image

NuSTAR spectra unfolded with the instrument responses (green is FPMA, red is FPMB) superimposed with the best-fit thermal component of the whole galaxy (black long dash-dotted line, medium-temperature and shock components in model A: wabsmed×mekalmed + wabshot×pshockhot, see Sect. 4.2), and the Chandra best-fit mytorus model for the two nuclei (see Sect. 5). The blue lines indicate the primary continuum (solid line) and the reflection continuum and lines (dotted line) of the southern nucleus; the magenta lines are the primary continuum (solid line), the reflection continuum, and lines (dotted line) of the northern nucleus. In the lower panel the NuSTAR data/Chandra best-fit model ratios are shown.

Current usage metrics show cumulative count of Article Views (full-text article views including HTML views, PDF and ePub downloads, according to the available data) and Abstracts Views on Vision4Press platform.

Data correspond to usage on the plateform after 2015. The current usage metrics is available 48-96 hours after online publication and is updated daily on week days.

Initial download of the metrics may take a while.