Free Access

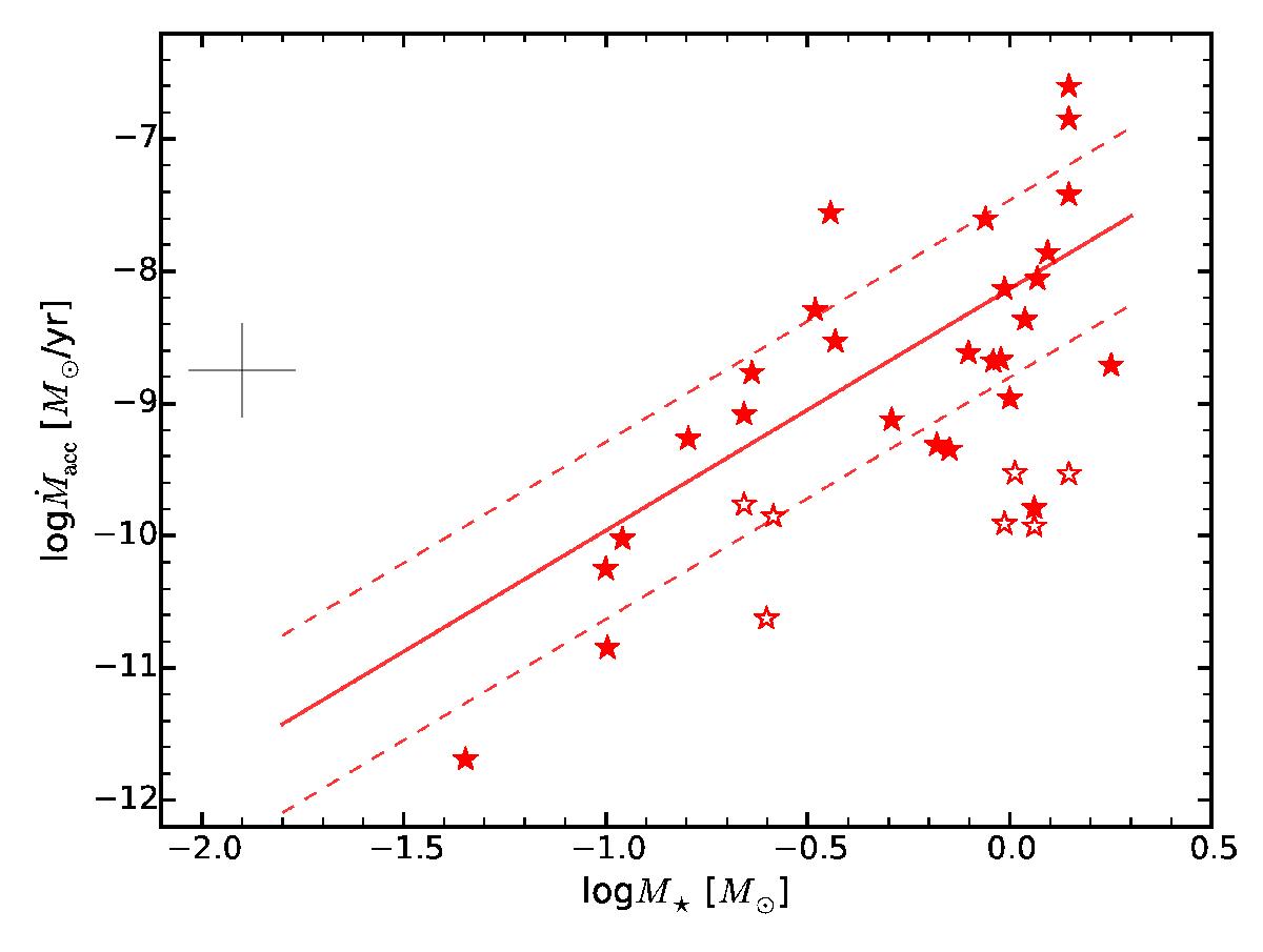
Fig. 6

image

Mass accretion rate as a function of the stellar mass for the whole Chamaeleon I sample discussed here (red stars). Empty symbols are used for non-accreting objects. The best-fit relation from Eq. (5) is overplotted with a red line, and the standard deviation from the best fit is shown with dashed lines. Typical uncertainties are shown in the upper left corner.

Current usage metrics show cumulative count of Article Views (full-text article views including HTML views, PDF and ePub downloads, according to the available data) and Abstracts Views on Vision4Press platform.

Data correspond to usage on the plateform after 2015. The current usage metrics is available 48-96 hours after online publication and is updated daily on week days.

Initial download of the metrics may take a while.