Free Access

Fig. 1

image

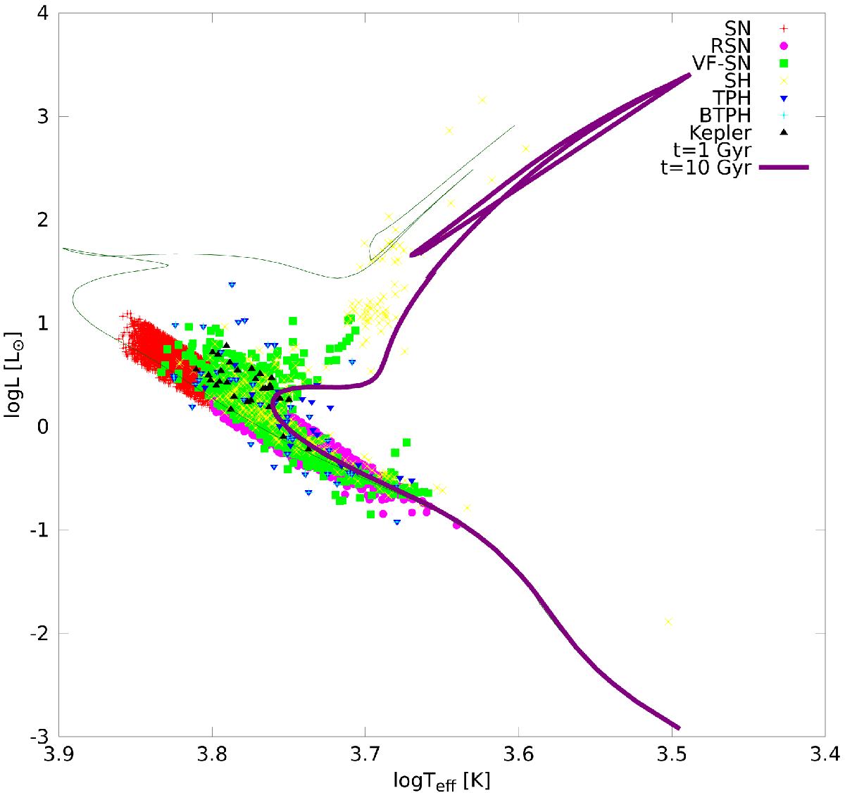
Stars belonging to our custom-built catalogues are represented on the HRD. Two solar metallicity isochrones, corresponding to 1 Gyr and 10 Gyr, are shown as reference. Since BTPH is a subsample extracted from TPH, all the cyan crosses representng the BTPH stars are superimposed on part of the blue reverse triangles representing the TPH stars.

Current usage metrics show cumulative count of Article Views (full-text article views including HTML views, PDF and ePub downloads, according to the available data) and Abstracts Views on Vision4Press platform.

Data correspond to usage on the plateform after 2015. The current usage metrics is available 48-96 hours after online publication and is updated daily on week days.

Initial download of the metrics may take a while.