Free Access

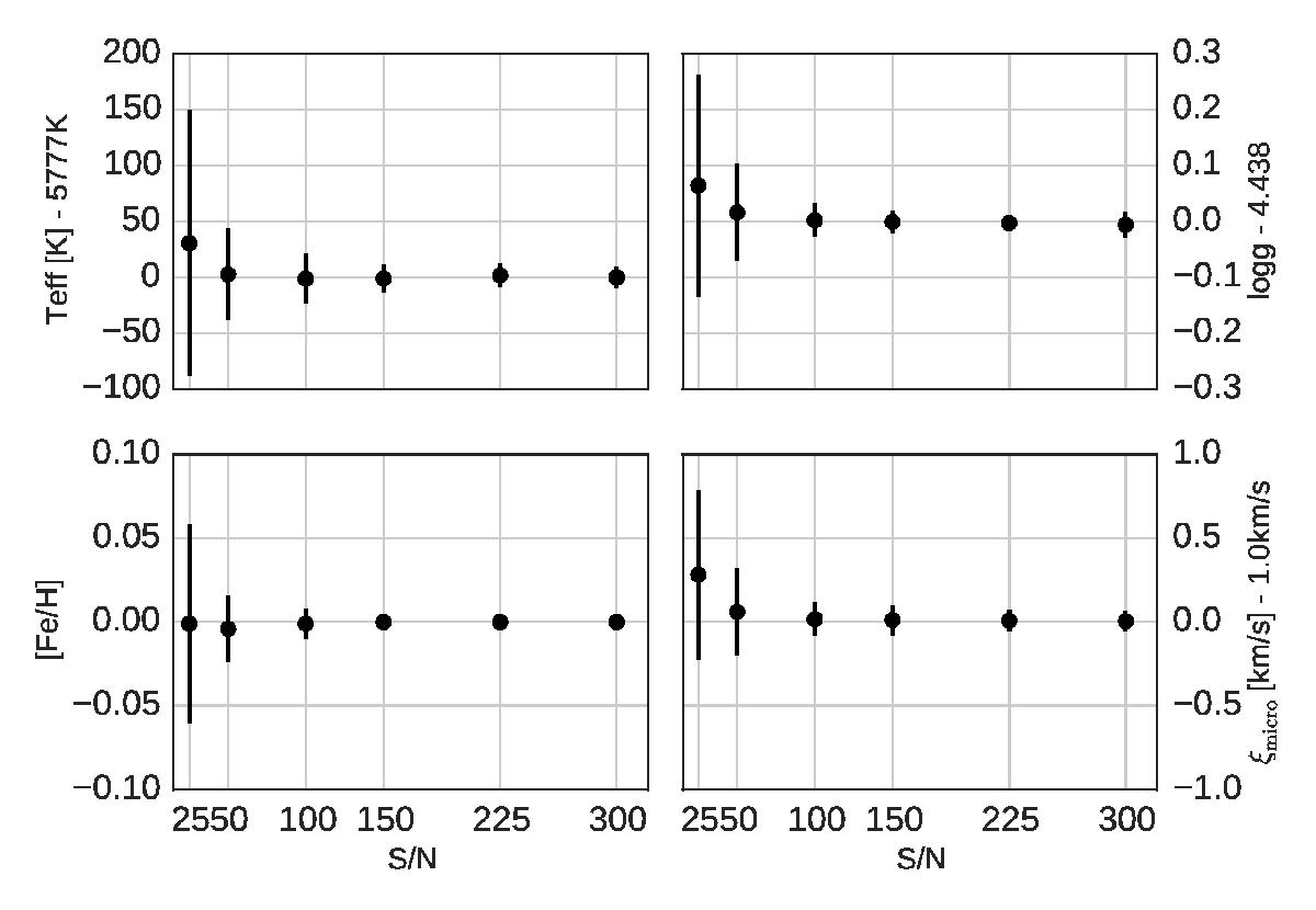
Fig. 5

image

Derived parameters as a function of the signal-to-noise. The error is the 3σ standard deviation from the ten different runs for each signal-to-noise. The upper left plot shows the effective temperature. The upper right plot show the surface gravity (log g). The lower left shows the iron abundance, used as a proxy for the metallicity. Finally, in the lower right plot the microturbulence is shown.

Current usage metrics show cumulative count of Article Views (full-text article views including HTML views, PDF and ePub downloads, according to the available data) and Abstracts Views on Vision4Press platform.

Data correspond to usage on the plateform after 2015. The current usage metrics is available 48-96 hours after online publication and is updated daily on week days.

Initial download of the metrics may take a while.