Free Access

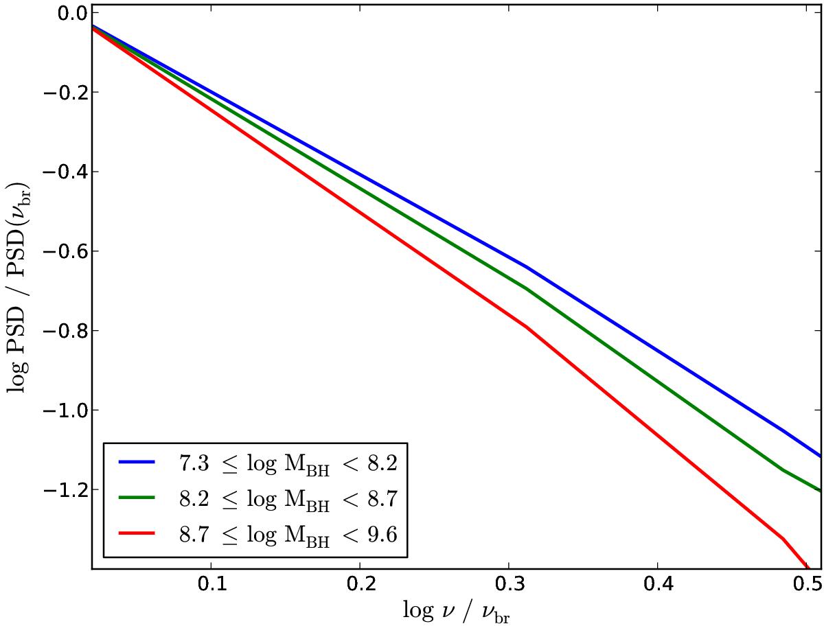
Fig. 17

image

High-frequency PSD (gP1 band PSD_MBH sample) for three bins of black hole mass. We show the sample median for each MBH bin after normalizing the PSD to the values at νbr in order to transform the PSD of each AGN to the same unit scale.

Current usage metrics show cumulative count of Article Views (full-text article views including HTML views, PDF and ePub downloads, according to the available data) and Abstracts Views on Vision4Press platform.

Data correspond to usage on the plateform after 2015. The current usage metrics is available 48-96 hours after online publication and is updated daily on week days.

Initial download of the metrics may take a while.