Free Access

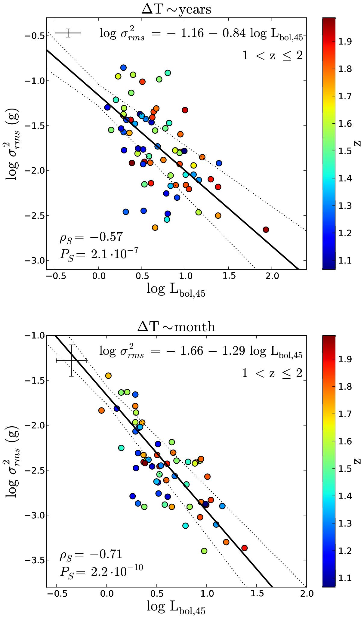
Fig. 5

image

Excess variance (gP1 band) measured on timescales of years (top) and months (bottom) versus Lbol in units of 1045 erg s-1 for the 1z2_MBH sample. The best-fit power law is plotted as a black solid line, the dashed lines show the 1σ errors on the fit parameters. The redshift is given as a color bar. The black error bars correspond to the average values.

This figure is made of several images, please see below:

Current usage metrics show cumulative count of Article Views (full-text article views including HTML views, PDF and ePub downloads, according to the available data) and Abstracts Views on Vision4Press platform.

Data correspond to usage on the plateform after 2015. The current usage metrics is available 48-96 hours after online publication and is updated daily on week days.

Initial download of the metrics may take a while.