Free Access

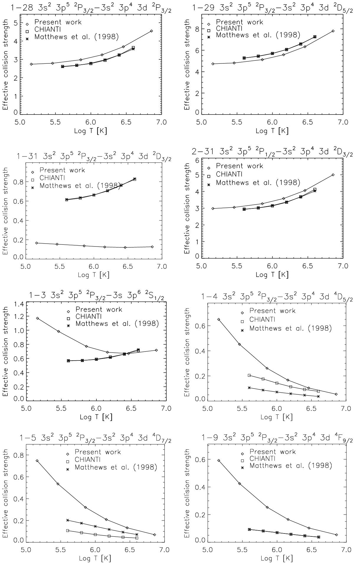
Fig. 1

image

Thermally-averaged collision strengths for a selection of transitions compared to those calculated by Matthews et al. (1998) and those tabulated in the CHIANTI database.

Current usage metrics show cumulative count of Article Views (full-text article views including HTML views, PDF and ePub downloads, according to the available data) and Abstracts Views on Vision4Press platform.

Data correspond to usage on the plateform after 2015. The current usage metrics is available 48-96 hours after online publication and is updated daily on week days.

Initial download of the metrics may take a while.