Free Access

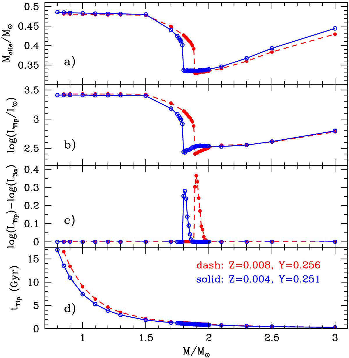
Fig. 1

image

Selected properties at the RGB tip as a function of the initial total mass for the two labelled chemical compositions: panel a) the He-core mass; panel b) bolometric luminosity; panel c) difference in bolometric luminosity between the RGB tip (LTip) and He-ignition; panel d) age.

Current usage metrics show cumulative count of Article Views (full-text article views including HTML views, PDF and ePub downloads, according to the available data) and Abstracts Views on Vision4Press platform.

Data correspond to usage on the plateform after 2015. The current usage metrics is available 48-96 hours after online publication and is updated daily on week days.

Initial download of the metrics may take a while.