Free Access

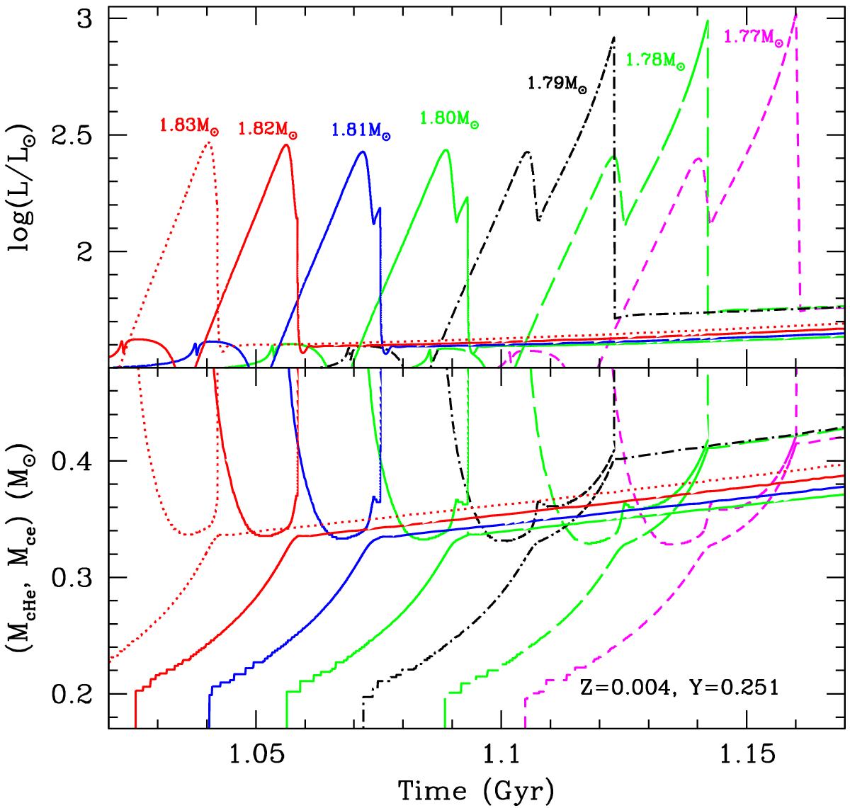
Fig. 2

image

Top panel: bolometric luminosity as a function of time during the RGB evolution of selected masses (see labels) for Z = 0.004 and Y = 0.251. Bottom panel: as in the top panel but for the mass location of the boundary of the He core and at the bottom of the convective envelope.

Current usage metrics show cumulative count of Article Views (full-text article views including HTML views, PDF and ePub downloads, according to the available data) and Abstracts Views on Vision4Press platform.

Data correspond to usage on the plateform after 2015. The current usage metrics is available 48-96 hours after online publication and is updated daily on week days.

Initial download of the metrics may take a while.