Free Access

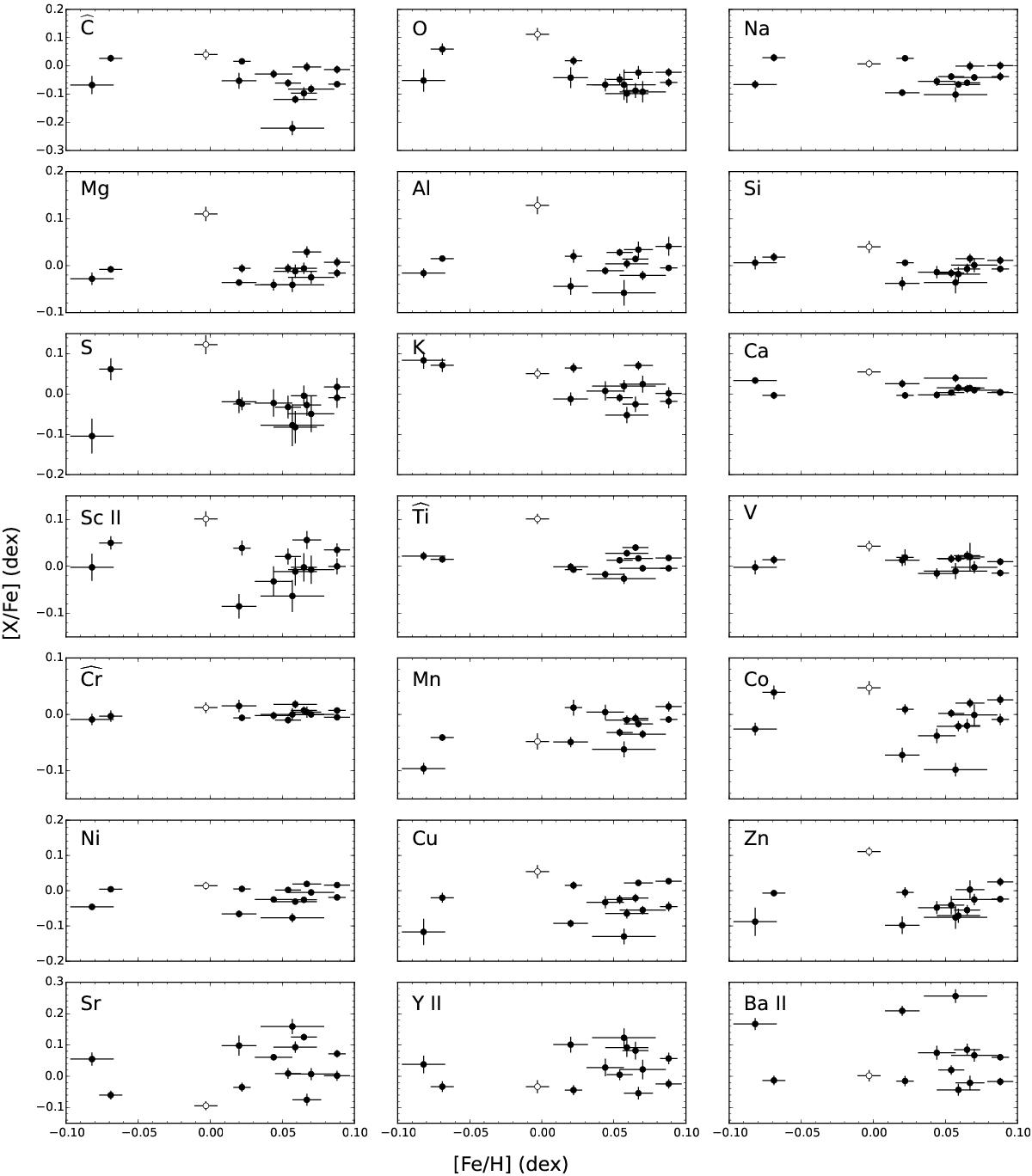
Fig. 1

image

[X/Fe] values as a function of stellar metallicities [Fe/H]. The abundances and corresponding errors are those listed in Table A.2. The empty circle is the hαmr star HD 112257, while the filled circles are the 13 normal thin-disk stars of our sample.

Current usage metrics show cumulative count of Article Views (full-text article views including HTML views, PDF and ePub downloads, according to the available data) and Abstracts Views on Vision4Press platform.

Data correspond to usage on the plateform after 2015. The current usage metrics is available 48-96 hours after online publication and is updated daily on week days.

Initial download of the metrics may take a while.