Free Access

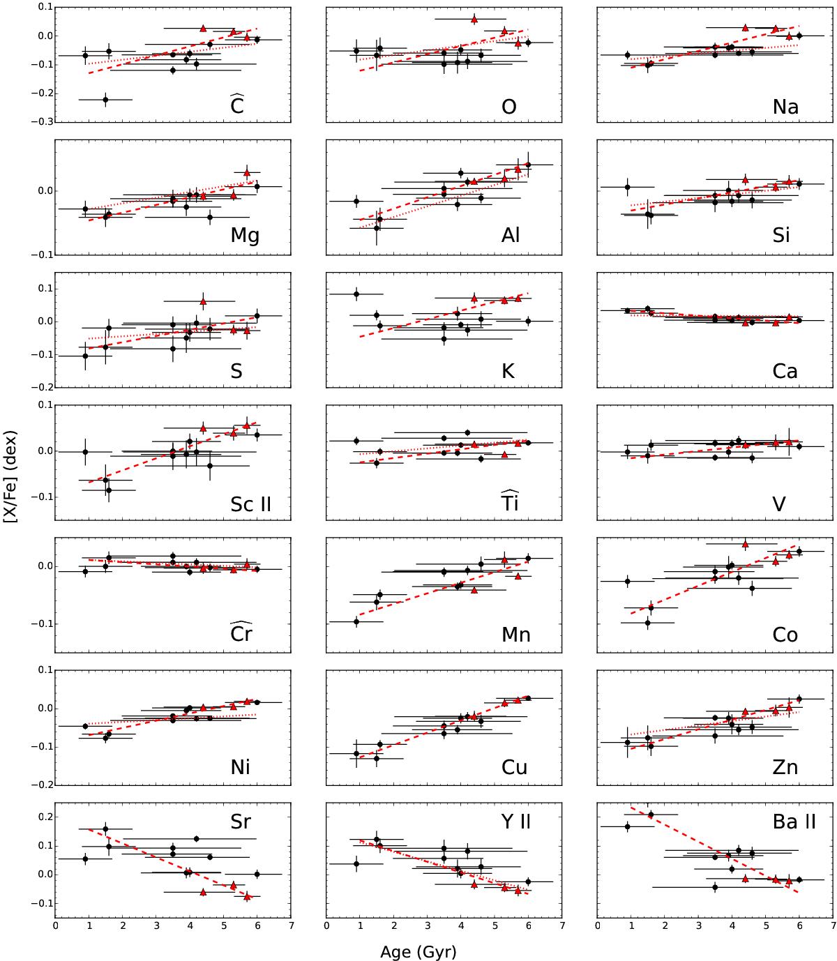
Fig. 4

image

[X/Fe] ratios as a function of stellar ages for the 13 normal thin-disk stars of our sample. Red filled triangles highlight the three planet-hosting stars. The red dashed lines correspond to the linear fits, whose coefficients are listed in Table 3. We also overplot the linear correlations found by Nissen (2015) with red dotted lines.

Current usage metrics show cumulative count of Article Views (full-text article views including HTML views, PDF and ePub downloads, according to the available data) and Abstracts Views on Vision4Press platform.

Data correspond to usage on the plateform after 2015. The current usage metrics is available 48-96 hours after online publication and is updated daily on week days.

Initial download of the metrics may take a while.