Free Access

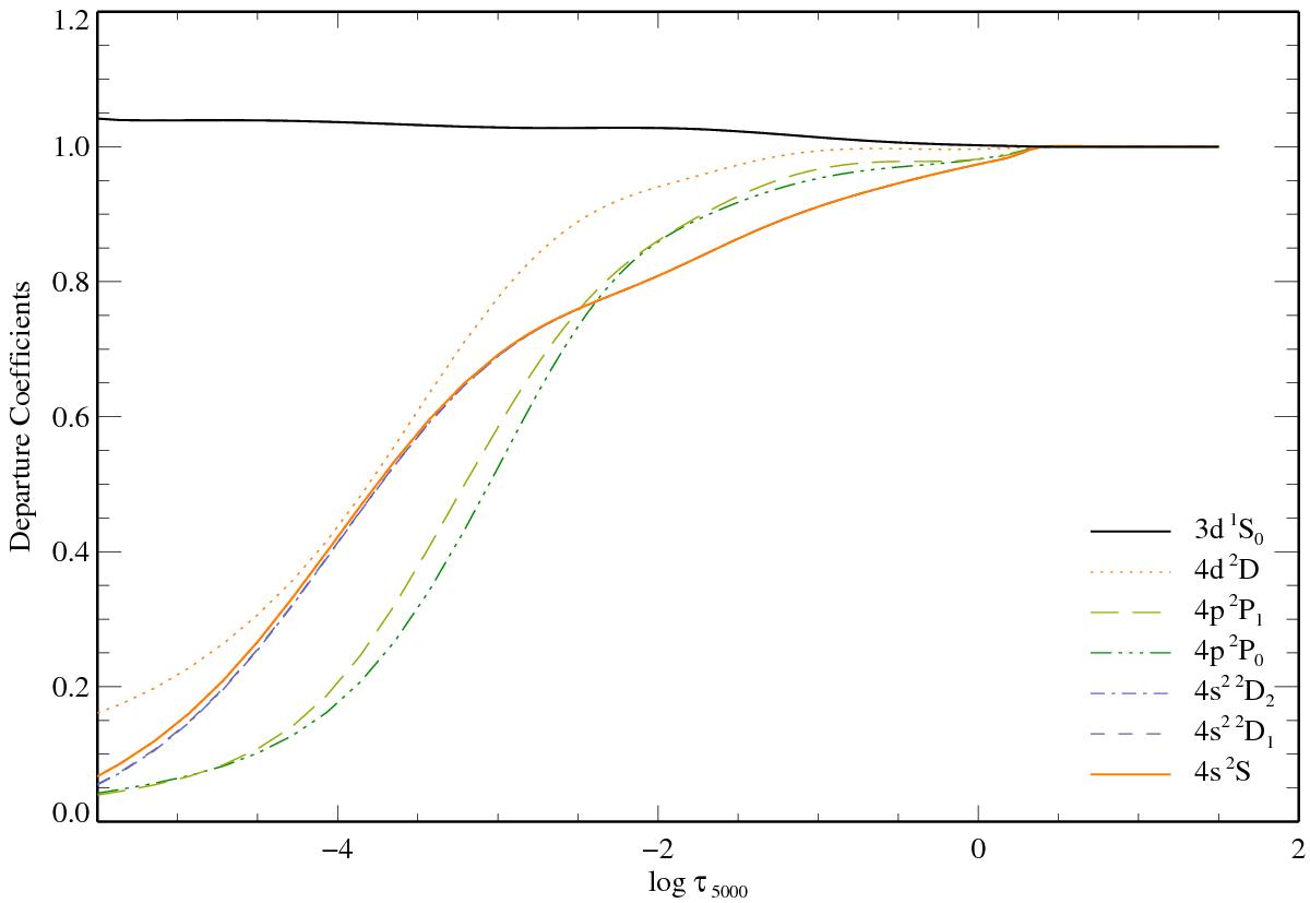
Fig. 1

image

Departure coefficients bi of the selected energy levels (listed in the figure) as a function of continuum optical depth at 5000 Å for the model atmosphere of G05-40. The collision with neutral hydrogen was scaled by a factor of 0.1 following Shi et al. (2014).

Current usage metrics show cumulative count of Article Views (full-text article views including HTML views, PDF and ePub downloads, according to the available data) and Abstracts Views on Vision4Press platform.

Data correspond to usage on the plateform after 2015. The current usage metrics is available 48-96 hours after online publication and is updated daily on week days.

Initial download of the metrics may take a while.