Free Access
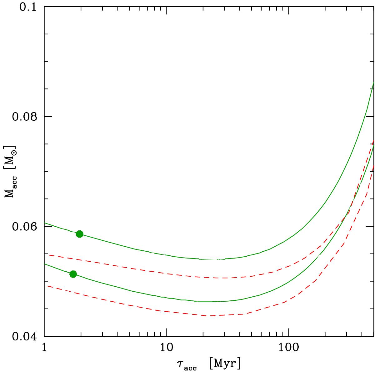
Fig. A.1

Mass of accreted matter as a function of the time needed to spin-up the progenitor NS to the observed state (i.e. M, B, and f) for PSR J1614−2230 (upper curves) and PSR J0751+1807. Exact results – solid (green) curves; approximation – dashed (red) lines.
Current usage metrics show cumulative count of Article Views (full-text article views including HTML views, PDF and ePub downloads, according to the available data) and Abstracts Views on Vision4Press platform.
Data correspond to usage on the plateform after 2015. The current usage metrics is available 48-96 hours after online publication and is updated daily on week days.
Initial download of the metrics may take a while.