Free Access
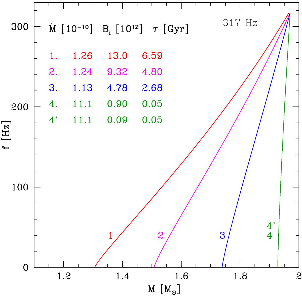
Fig. 3

Example of spin-up tracks of accreting NSs leading to the final configuration of PSR J1614−2230 for the BM EOS and for model (a) for the magnetic field decay. For each track, the mean accretion rate (in M⊙/ yr), the initial magnetic field (in G), and the duration of the accretion phase are indicated.
Current usage metrics show cumulative count of Article Views (full-text article views including HTML views, PDF and ePub downloads, according to the available data) and Abstracts Views on Vision4Press platform.
Data correspond to usage on the plateform after 2015. The current usage metrics is available 48-96 hours after online publication and is updated daily on week days.
Initial download of the metrics may take a while.