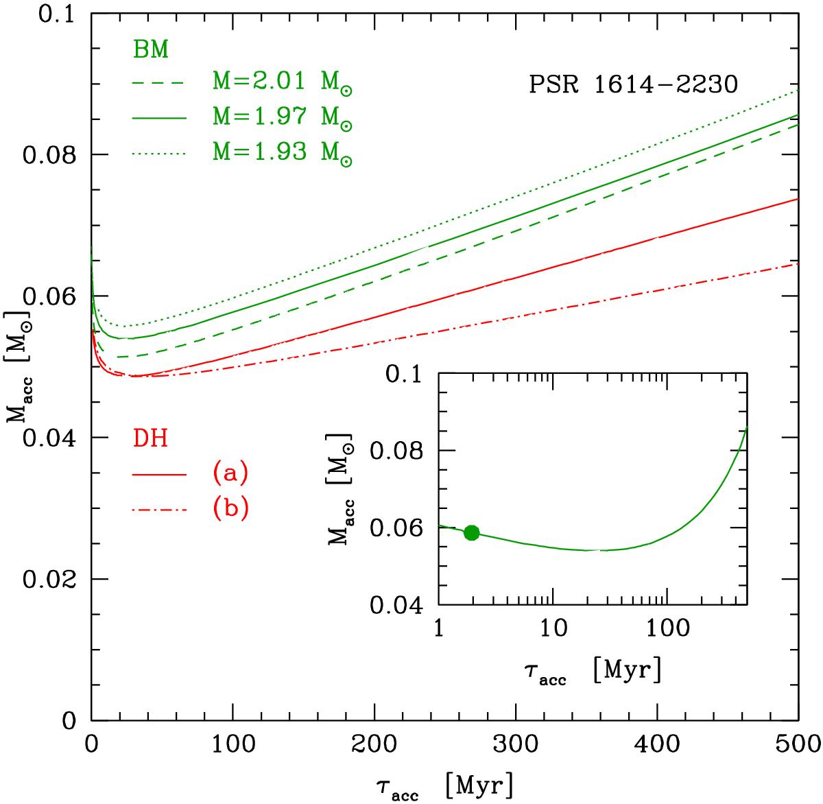
Fig. 4

Mass of accreted matter as a function of the time needed to spin-up the progenitor NS to the observed properties of PSR J1614−2230 (i.e., M, B, and f) for the five models indicated in Table 3. The dot corresponds to a spin-up track proceeding at a rate equal to the Eddington accretion rate ṀEdd ~ 3 × 10-8M⊙/ yr; the accretion timescale is then ~2 Myr. For tracks with τacc ≲ 2 Myr, Ṁ is greater than ṀEdd.
Current usage metrics show cumulative count of Article Views (full-text article views including HTML views, PDF and ePub downloads, according to the available data) and Abstracts Views on Vision4Press platform.
Data correspond to usage on the plateform after 2015. The current usage metrics is available 48-96 hours after online publication and is updated daily on week days.
Initial download of the metrics may take a while.