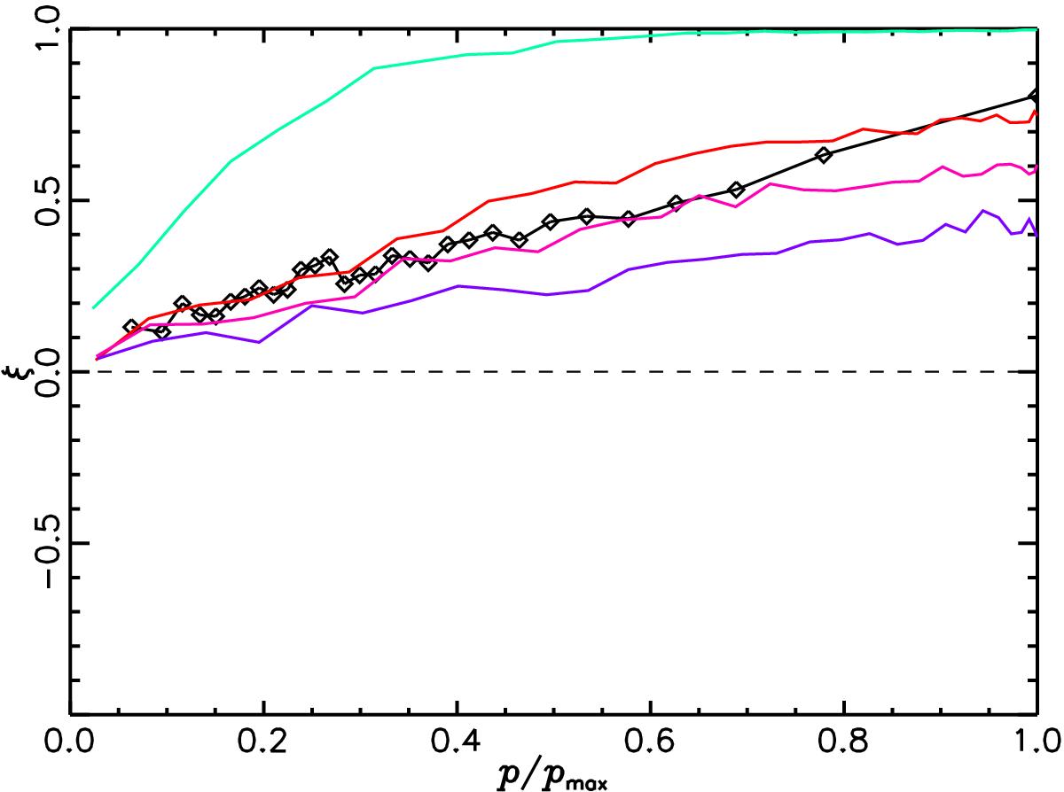
Fig. 13

Correlation between the degree of alignment, ξ, and the polarization fraction, p, for the selected pixels, both for data (black squares) and for the Gaussian models. The models are characterized by the following values of σM: 15° in green, 29° in red, 33° in magenta and 38° in purple. The data values of p are normalized to the maximum value, pmax, within the sample. For the models, p = cos2γM. This figure shows that projection effects, probed by the Gaussian models, are likely to be the main cause of the correlation between ξ and p.
Current usage metrics show cumulative count of Article Views (full-text article views including HTML views, PDF and ePub downloads, according to the available data) and Abstracts Views on Vision4Press platform.
Data correspond to usage on the plateform after 2015. The current usage metrics is available 48-96 hours after online publication and is updated daily on week days.
Initial download of the metrics may take a while.