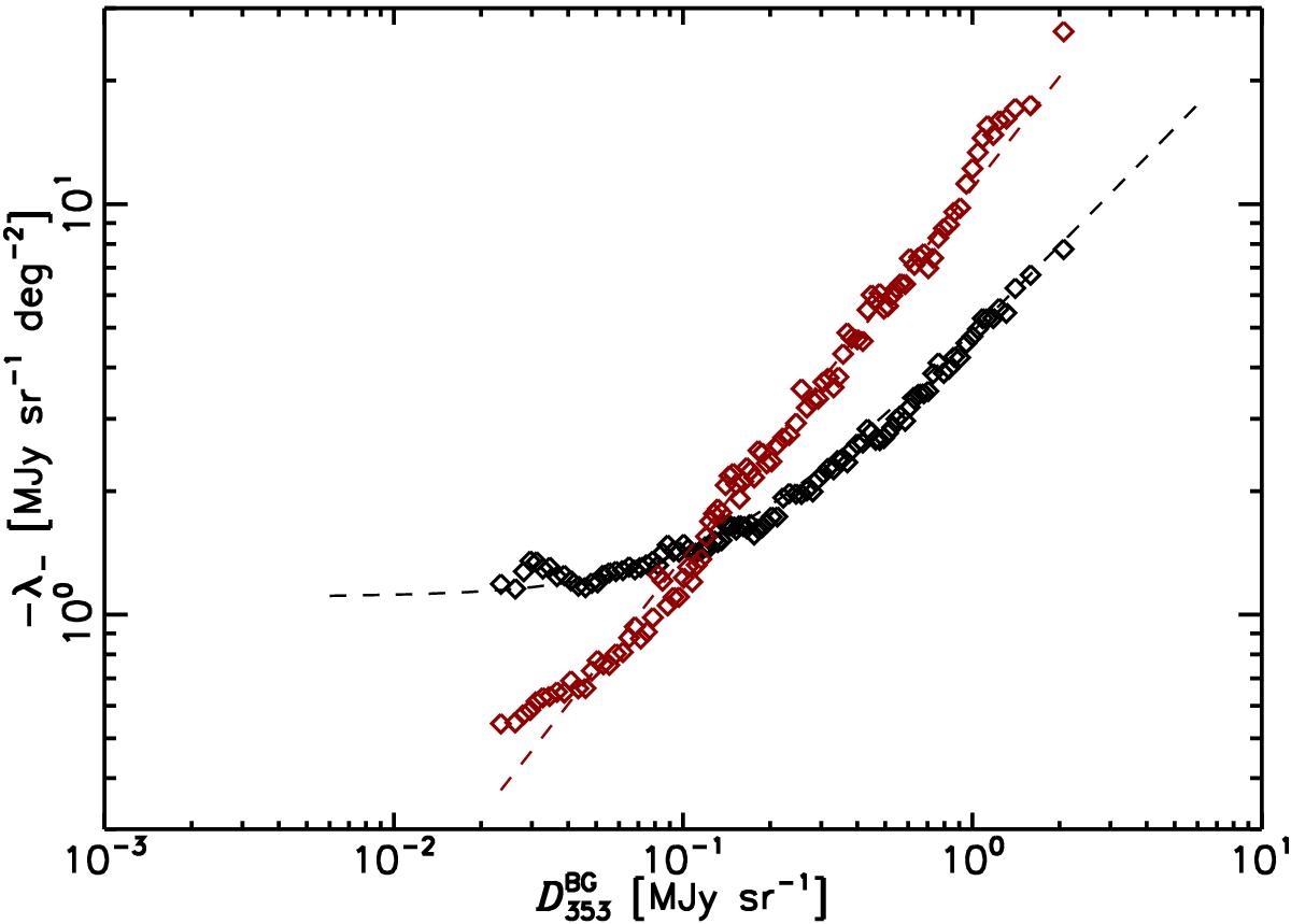
Fig. A.3

Results of a Hessian analysis of the toy model of the sky T353 with instrumental noise. The black (red) squares represent the 3σ level of the distribution of −λ−(T353) (−λ−(D353)) within bins of computed with the mask used in our data analysis. The dashed lines represent the analytical fits in Eq. (A.2) (black dashed line) and Eq. (A.3) (red dashed line).
Current usage metrics show cumulative count of Article Views (full-text article views including HTML views, PDF and ePub downloads, according to the available data) and Abstracts Views on Vision4Press platform.
Data correspond to usage on the plateform after 2015. The current usage metrics is available 48-96 hours after online publication and is updated daily on week days.
Initial download of the metrics may take a while.