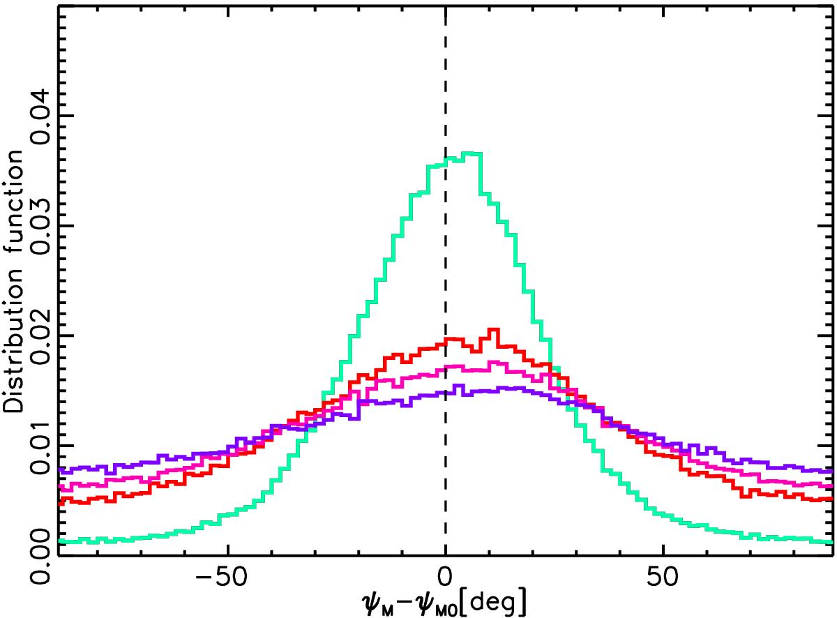
Fig. B.1

Distribution functions for the Gaussian models for four values of the dispersion of the VM direction about VM0. The dispersion of angles in the models is parametrized by the value of fM (σM). It is the strongest in the purple case, fM = 1.5 (σM = 38°). The other curves correspond to fM = 1.2 (σM = 33°) in magenta, fM = 1.0 (σM = 29°) in red, and the weakest, fM = 0.5 (σM = 15°), in green. Each DF is computed over the same set of pixels used for the data analysis. The plot shows the results for the index of the power spectrum −1.5.
Current usage metrics show cumulative count of Article Views (full-text article views including HTML views, PDF and ePub downloads, according to the available data) and Abstracts Views on Vision4Press platform.
Data correspond to usage on the plateform after 2015. The current usage metrics is available 48-96 hours after online publication and is updated daily on week days.
Initial download of the metrics may take a while.