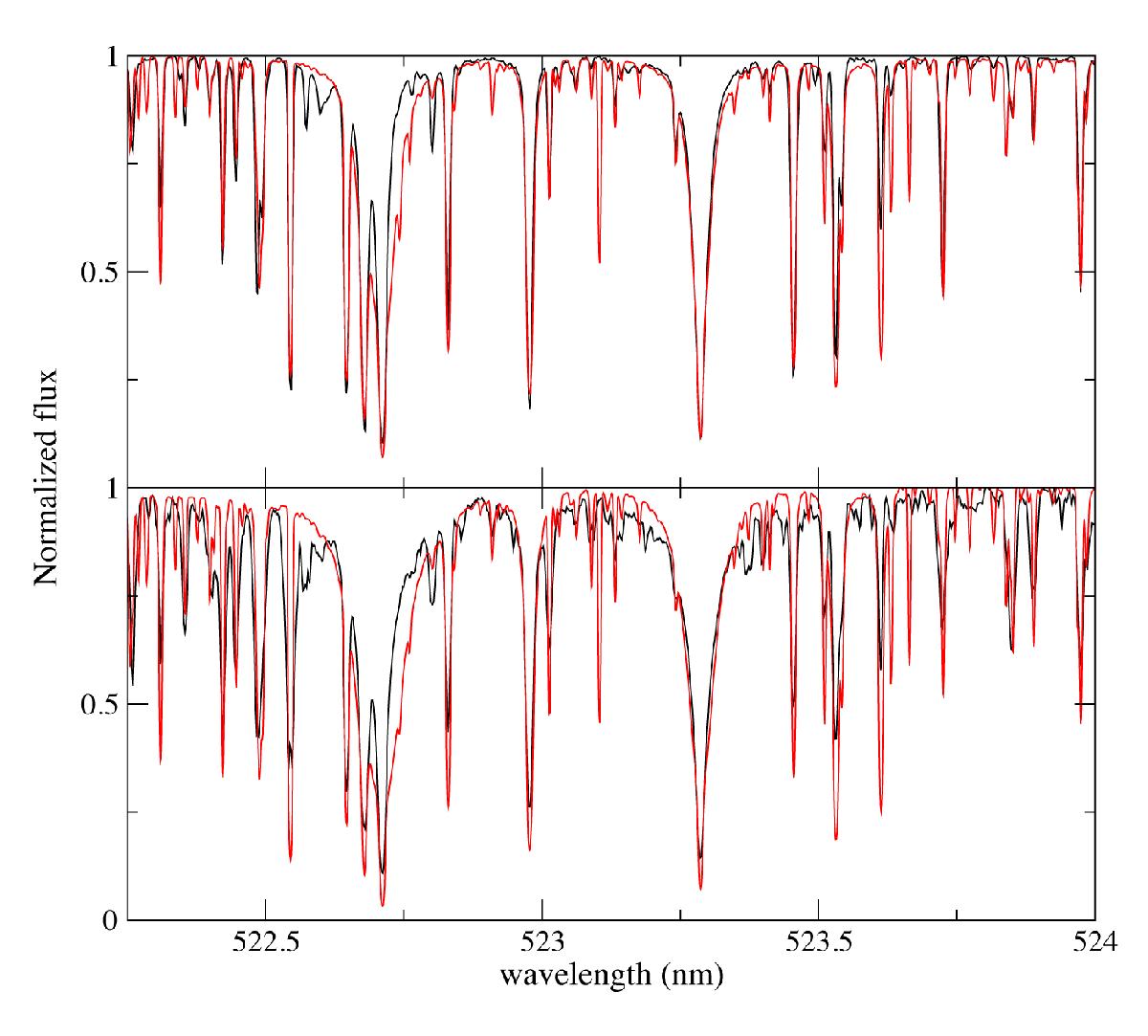
Fig. 2

Top: comparison between an observed high-resolution spectrum for the solar photosphere (black) and a Phoenix synthetic spectrum (red) from Husser et al. (2013) using Teff = 5770 K, log g = 4.5 and solar abundances. Bottom: same for the observed spectrum of a spot region (black), now compared with a Phoenix synthetic spectrum of Teff = 5460 K.
Current usage metrics show cumulative count of Article Views (full-text article views including HTML views, PDF and ePub downloads, according to the available data) and Abstracts Views on Vision4Press platform.
Data correspond to usage on the plateform after 2015. The current usage metrics is available 48-96 hours after online publication and is updated daily on week days.
Initial download of the metrics may take a while.